1. 采样的过程
对一个信号进行采样,就是用一系列等间隔的的脉冲信号作用在被采样信号上。由前面的知识,冲击信号与另一个信号相乘,会在冲击的位置得到一个幅度为被采样信号的一个冲击,由此得到了一些列时间离散的点。

2.采样后的频域特征
在上一篇博客当中介绍了,频域卷积定理 ,在频域中卷积,就是在 时域中相乘 。那么采样的过程就是在时域当中将周期的冲击信号和被采样信号进行相乘的结果。因此,采样的过程,在频域上就表现为原始信号的频谱与周期的冲击信号进行卷积。

因此为了分析采样过后的频域特征,需要就需要分析周期脉冲信号的频域特征。
2.1 基本的信号变换对
当初在学《信号与系统》的时候(我也不知道我一个电子封装专业的人为什么要学这门课),考前为了一周学完信号与系统,就必须来背这么几个常用的变换对,其中就包括冲击信号的变换对。
2.1.1 冲击信号的傅里叶变换


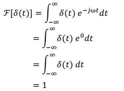
以前只知道有这么个变换对,和这个变换对的数学推导,根本就没有注意其中的物理含义,现在来看,就是一个冲击信号,其实是可以分解为所有频率的复指数信号的和,且这些复指数信号的前的系数都相同,为一。也就是是所,冲击信号在正交函数集上的任意一个函数的投影值都为1。
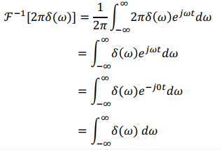
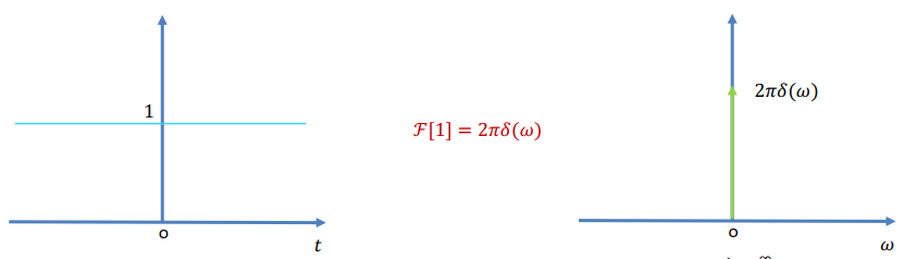
2.1.2 "1"的傅里叶变换
其实由对偶性,很容易得到1的傅里叶变换



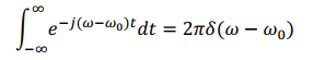
2.1.3 复指数信号的傅里叶变换
由于1的傅里叶变换是2πδ(w),根据这个可以求得复指数信号exp(jw0t)的傅里叶变换。

&esmp;可以看到对复指数信号进行傅里叶变换的时候,其在w0处,会有一个2π的冲击。

由于复指数信号是一个周期信号。在前面介绍周期信号的频域和时域的变换的时候,都是使用的傅里叶级数展开,上面使用的是傅里叶变换的方式。可以看到,若使用傅里叶级数的方式,那么复指数信号在频率为w0的地方,其频谱为1。
&esmp;比较复指数的傅里叶变换和傅里叶级数可以知道,复指数信号的傅里叶变换,就是将傅里叶级数系数所在频率位置产生了一个幅值为2π的冲击。
2.1.4 任意周期信号的傅里叶变换
因为任意信号都可以使用复指数信号进行展开,由于线性时不变系统,任意信号的频域其实也就是这些复指数信号的频域的叠加。
因此,任意周期信号的傅里叶变换,也就和复指数信号类似的,在傅里叶级数系数所对应的位置,会产生一个幅度为原来系数2π的一个冲击。
也就是:


2.3 周期脉冲信号的傅里叶变换
前面提到了,周期信号的傅里叶变换,其实就是在其傅里叶级数对应的位置产生了一个脉冲。那么对于周期脉冲信号,也可以用类似的方法来表示其傅里叶变换。
-
首先,求得周期脉冲信号的傅里叶级数:

-
然后就可以得到周期脉冲信号的傅里叶变换
由于前面得到的周期信号的傅里叶变换的计算方法。


-
从表达式上可以看出,周期脉冲信号的傅里叶变换,还是一些列的脉冲信号。

&esmp;现在再来看采样,就会发现,再频域中,是进行卷积操作,也就是将原始信号的频谱搬移到冲击所在的位置。

可以看到,现在就得到了采样后频谱。若采样速率足够高,那么采样后的频谱不会混叠,那么就能从采样后的结果复原。

3 低通采样定理
前面提到,周期脉冲信号再频域上也是一系列的冲击,再频域上的冲击间隔为w0 = 2π/T,因此,当采样脉冲周期变大的时候,频域上的冲击的间隔就会减小,若周期变大到一定程度,则会发生频谱的混叠。这样就很难由采样的信号恢复到原来的信号,因为其频谱已经发生了变化。

- 由此可以得到低通采样定理
采样频率大于被采样信号频率的2倍,即 ???????? > 2 ????????,此时可以从采样的信号恢复原来的信号。
4. 带通采样定理
对于一个经过调制后的信号,若想要将其完整的恢复出来,此时也可以对其进行采样,然后通过低通滤波器(其实就是解调的过程),那么在这个过程中,采样频率满足一定条件的时候也可以将信号完成的恢复出来。
- 采样频率 ????s > 2????????
此时可以看到各个频谱搬移后的结果并没有混叠。

- 采样频率????s < 2????????
若此时降低采样率,也不一定会发生频谱的混叠。
可以看到,此时的各个搬移后的频谱也没有发生混叠。

继续降低采样频率,还能再次出现频谱不混叠的情况。

由此可见,当采样频率满足特定频率的时候,不需要其有很高的采样频率也能将信号复原。
带通采样定理:满足以下采样频率的????????对带通信号进行采样,可以将带通信号无失真的恢复出来。

参考:
深入浅出数字信号处理
最后
以上就是香蕉蛋挞最近收集整理的关于数字信号处理基础----采样定理1. 采样的过程2.采样后的频域特征3 低通采样定理4. 带通采样定理的全部内容,更多相关数字信号处理基础----采样定理1.内容请搜索靠谱客的其他文章。
发表评论 取消回复