推荐系统

从框架的角度看,推荐系统基本可以分为数据层、触发层、融合过滤层和排序层。数据层包括数据生成和数据存储,主要是利用各种数据处理工具对原始日志进行清洗,处理成格式化的数据,落地到不同类型的存储系统中,供下游的算法和模型使用。候选集触发层主要是从用户的历史行为、实时行为、地理位置等角度利用各种触发策略产生推荐的候选集。候选集融合和过滤层有两个功能,一是对出发层产生的不同候选集进行融合,提高推荐策略的覆盖度和精度;另外还要承担一定的过滤职责,从产品、运营的角度确定一些人工规则,过滤掉不符合条件的item。排序层主要是利用机器学习的模型对触发层筛选出来的候选集进行重排序。
在这次比赛中相当于给了数据,不需要考虑数据产生,有可能要考虑存储,暂时先不考虑。所以大体流程是先对数据进行分析,然后对数据进行预处理,进入候选集触发环节,考虑采用协同过滤与位置聚类的方法推荐出集合,然后通过机器学习的方法训练得出最终结果。
理论分析
数据应用
| 行为类别 | 行为详情 |
| 主动行为数据 | 搜索、筛选、点击、收藏、下单、支付、评分 |
| UGC | 文本评价、上传图片 |
| 负反馈数据 | 左滑删除、取消收藏、取消订单、退款、负评、低评 |
| 用户画像 | 用户人口属性、美团DNA、品类偏好、消费水平、工作地与居住地 |
用户主动行为数据记录了用户在美团平台上不同的环节的各种行为,这些行为一方面用于候选集触发算法(在下一部分介绍)中的离线计算(主要是浏览、下单),另外一方面,这些行为代表的意图的强弱不同,因此在训练重排序模型时可以针对不同的行为设定不同的回归目标值,以更细地刻画用户的行为强弱程度。此外,用户对deal的这些行为还可以作为重排序模型的交叉特征,用于模型的离线训练和在线预测。
负反馈数据反映了当前的结果可能在某些方面不能满足用户的需求,因此在后续的候选集触发过程中需要考虑对特定的因素进行过滤或者降权,降低负面因素再次出现的几率,提高用户体验;同时在重排序的模型训练中,负反馈数据可以作为不可多得的负例参与模型训练,这些负例要比那些展示后未点击、未下单的样本显著的多。
用户画像是刻画用户属性的基础数据,其中有些是直接获取的原始数据,有些是经过挖掘的二次加工数据,这些属性一方面可以用于候选集触发过程中对deal进行加权或降权,另外一方面可以作为重排序模型中的用户维度特征。
通过对UGC数据的挖掘可以提取出一些关键词,然后使用这些关键词给deal打标签,用于deal的个性化展示。
推荐引擎
1、推荐引擎是为不同的用户推荐不同的数据
根据大众行为的推荐引擎,对每个用户都给出同样的推荐,这些推荐可以是静态的由系统管理员人工设定的,或者基于系统所有用户的反馈统计计算出的当下比较流行的物品。
个性化推荐引擎,对不同的用户,根据他们的口味和喜好给出更加精确的推荐,这时,系统需要了解需推荐内容和用户的特质,或者基于社会化网络,通过找到与当前用户相同喜好的用户,实现推荐。
这是一个最基本的推荐引擎分类,其实大部分人们讨论的推荐引擎都是将个性化的推荐引擎,因为从根本上说,只有个性化的推荐引擎才是更加智能的信息发现过程。
2、根据推荐引擎的数据源
其实这里讲的是如何发现数据的相关性,因为大部分推荐引擎的工作原理还是基于物品或者用户的相似集进行推荐。根据不同的数据源发现数据相关性的方法可以分为以下几种:
根据系统用户的基本信息发现用户的相关程度,这种被称为基于人口统计学的推荐(Demographic-based Recommendation)
根据推荐物品或内容的元数据,发现物品或者内容的相关性,这种被称为基于内容的推荐(Content-based Recommendation)
根据用户对物品或者信息的偏好,发现物品或者内容本身的相关性,或者是发现用户的相关性,这种被称为基于协同过滤的推荐(CollaborativeFiltering-based Recommendation)。
3、根据推荐模型的建立方式
可以想象在海量物品和用户的系统中,推荐引擎的计算量是相当大的,要实现实时的推荐务必需要建立一个推荐模型,关于推荐模型的建立方式可以分为以下几种:
基于物品和用户本身的,这种推荐引擎将每个用户和每个物品都当作独立的实体,预测每个用户对于每个物品的喜好程度,这些信息往往是用一个二维矩阵描述的。由于用户感兴趣的物品远远小于总物品的数目,这样的模型导致大量的数据空置,即我们得到的二维矩阵往往是一个很大的稀疏矩阵。同时为了减小计算量,我们可以对物品和用户进行聚类, 然后记录和计算一类用户对一类物品的喜好程度,但这样的模型又会在推荐的准确性上有损失。
基于关联规则的推荐(Rule-basedRecommendation):关联规则的挖掘已经是数据挖掘中的一个经典的问题,主要是挖掘一些数据的依赖关系,典型的场景就是“购物篮问题”,通过关联规则的挖掘,我们可以找到哪些物品经常被同时购买,或者用户购买了一些物品后通常会购买哪些其他的物品,当我们挖掘出这些关联规则之后,我们可以基于这些规则给用户进行推荐。
基于模型的推荐(Model-basedRecommendation):这是一个典型的机器学习的问题,可以将已有的用户喜好信息作为训练样本,训练出一个预测用户喜好的模型,这样以后用户在进入系统,可以基于此模型计算推荐。这种方法的问题在于如何将用户实时或者近期的喜好信息反馈给训练好的模型,从而提高推荐的准确度。
其实在现在的推荐系统中,很少有只使用了一个推荐策略的推荐引擎,一般都是在不同的场景下使用不同的推荐策略从而达到最好的推荐效果,例如 Amazon 的推荐,它将基于用户本身历史购买数据的推荐,和基于用户当前浏览的物品的推荐,以及基于大众喜好的当下比较流行的物品都在不同的区域推荐给用户,让用户可以从全方位的推荐中找到自己真正感兴趣的物品。
算法原理
1、基于人口统计学的推荐
基于人口统计学的推荐机制(Demographic-based Recommendation)是一种最易于实现的推荐方法,它只是简单的根据系统用户的基本信息发现用户的相关程度,然后将相似用户喜爱的其他物品推荐给当前用户,下图给出了这种推荐的工作原理。

基于人口统计学的推荐机制的工作原理图
从图中可以很清楚的看到,首先,系统对每个用户都有一个用户 Profile 的建模,其中包括用户的基本信息,例如用户的年龄,性别等等;然后,系统会根据用户的 Profile计算用户的相似度,可以看到用户 A 的 Profile 和用户 C 一样,那么系统会认为用户 A 和 C 是相似用户,在推荐引擎中,可以称他们是“邻居”;最后,基于“邻居”用户群的喜好推荐给当前用户一些物品,图中将用户 A 喜欢的物品 A 推荐给用户 C。
这种基于人口统计学的推荐机制的好处在于:
1. 因为不使用当前用户对物品的喜好历史数据,所以对于新用户来讲没有“冷启动(Cold Start)”的问题。
2. 这个方法不依赖于物品本身的数据,所以这个方法在不同物品的领域都可以使用,它是领域独立的(domain-independent)。
那么这个方法的缺点和问题是什么呢?这种基于用户的基本信息对用户进行分类的方法过于粗糙,尤其是对品味要求较高的领域,比如图书,电影和音乐等领域,无法得到很好的推荐效果。可能在一些电子商务的网站中,这个方法可以给出一些简单的推荐。另外一个局限是,这个方法可能涉及到一些与信息发现问题本身无关却比较敏感的信息,比如用户的年龄等,这些用户信息不是很好获取。
2、基于内容的推荐
基于内容的推荐是在推荐引擎出现之初应用最为广泛的推荐机制,它的核心思想是根据推荐物品或内容的元数据,发现物品或者内容的相关性,然后基于用户以往的喜好记录,推荐给用户相似的物品。下图给出了基于内容推荐的基本原理。

基于内容推荐机制的基本原理
上图给出了基于内容推荐的一个典型的例子,电影推荐系统,首先我们需要对电影的元数据有一个建模,这里只简单的描述了一下电影的类型;然后通过电影的元数据发现电影间的相似度,因为类型都是“爱情,浪漫”电影 A 和 C 被认为是相似的电影(当然,只根据类型是不够的,要得到更好的推荐,我们还可以考虑电影的导演,演员等等);最后实现推荐,对于用户 A,他喜欢看电影 A,那么系统就可以给他推荐类似的电影 C。
这种基于内容的推荐机制的好处在于它能很好的建模用户的口味,能提供更加精确的推荐。但它也存在以下几个问题:
1. 需要对物品进行分析和建模,推荐的质量依赖于对物品模型的完整和全面程度。在现在的应用中我们可以观察到关键词和标签(Tag)被认为是描述物品元数据的一种简单有效的方法。
2. 物品相似度的分析仅仅依赖于物品本身的特征,这里没有考虑人对物品的态度。
3. 因为需要基于用户以往的喜好历史做出推荐,所以对于新用户有“冷启动”的问题。
虽然这个方法有很多不足和问题,但他还是成功的应用在一些电影,音乐,图书的社交站点,有些站点还请专业的人员对物品进行基因编码,比如潘多拉,在一份报告中说道,在潘多拉的推荐引擎中,每首歌有超过 100 个元数据特征,包括歌曲的风格,年份,演唱者等等。
3、基于协同过滤的推荐
随着 Web2.0 的发展,Web 站点更加提倡用户参与和用户贡献,因此基于协同过滤的推荐机制因运而生。它的原理很简单,就是根据用户对物品或者信息的偏好,发现物品或者内容本身的相关性,或者是发现用户的相关性,然后再基于这些关联性进行推荐。基于协同过滤的推荐可以分为三个子类:基于用户的推荐(User-basedRecommendation),基于项目的推荐(Item-based Recommendation)和基于模型的推荐(Model-based Recommendation)。下面我们一个一个详细的介绍着三种协同过滤的推荐机制。
4、基于用户的协同过滤推荐
基于用户的协同过滤推荐的基本原理是,根据所有用户对物品或者信息的偏好,发现与当前用户口味和偏好相似的“邻居”用户群,在一般的应用中是采用计算“K- 邻居”的算法;然后,基于这 K 个邻居的历史偏好信息,为当前用户进行推荐。下图给出了原理图。

基于用户的协同过滤推荐机制的基本原理
上图示意出基于用户的协同过滤推荐机制的基本原理,假设用户 A 喜欢物品 A,物品 C,用户 B 喜欢物品 B,用户 C 喜欢物品 A ,物品 C 和物品 D;从这些用户的历史喜好信息中,我们可以发现用户 A 和用户 C 的口味和偏好是比较类似的,同时用户 C 还喜欢物品 D,那么我们可以推断用户 A 可能也喜欢物品 D,因此可以将物品 D 推荐给用户 A。基于用户的协同过滤推荐机制和基于人口统计学的推荐机制都是计算用户的相似度,并基于“邻居”用户群计算推荐,但它们所不同的是如何计算用户的相似度,基于人口统计学的机制只考虑用户本身的特征,而基于用户的协同过滤机制可是在用户的历史偏好的数据上计算用户的相似度,它的基本假设是,喜欢类似物品的用户可能有相同或者相似的口味和偏好。
5、基于项目的协同过滤推荐
基于项目的协同过滤推荐的基本原理也是类似的,只是说它使用所有用户对物品或者信息的偏好,发现物品和物品之间的相似度,然后根据用户的历史偏好信息,将类似的物品推荐给用户,下图很好的诠释了它的基本原理。
假设用户 A 喜欢物品 A 和物品 C,用户 B 喜欢物品 A,物品 B 和物品 C,用户 C 喜欢物品 A,从这些用户的历史喜好可以分析出物品 A 和物品 C 时比较类似的,喜欢物品 A 的人都喜欢物品 C,基于这个数据可以推断用户 C 很有可能也喜欢物品 C,所以系统会将物品 C 推荐给用户 C。与上面讲的类似,基于项目的协同过滤推荐和基于内容的推荐其实都是基于物品相似度预测推荐,只是相似度计算的方法不一样,前者是从用户历史的偏好推断,而后者是基于物品本身的属性特征信息。

基于项目的协同过滤推荐机制的基本原理
同时协同过滤,在基于用户和基于项目两个策略中应该如何选择呢?其实基于项目的协同过滤推荐机制是 Amazon 在基于用户的机制上改良的一种策略,因为在大部分的 Web 站点中,物品的个数是远远小于用户的数量的,而且物品的个数和相似度相对比较稳定,同时基于项目的机制比基于用户的实时性更好一些。但也不是所有的场景都是这样的情况,可以设想一下在一些新闻推荐系统中,也许物品,也就是新闻的个数可能大于用户的个数,而且新闻的更新程度也有很快,所以它的形似度依然不稳定。所以,其实可以看出,推荐策略的选择其实和具体的应用场景有很大的关系。
6、基于模型的协同过滤推荐
基于模型的协同过滤推荐就是基于样本的用户喜好信息,训练一个推荐模型,然后根据实时的用户喜好的信息进行预测,计算推荐。
基于协同过滤的推荐机制是现今应用最为广泛的推荐机制,它有以下几个显著的优点:
1. 它不需要对物品或者用户进行严格的建模,而且不要求物品的描述是机器可理解的,所以这种方法也是领域无关的。
2. 这种方法计算出来的推荐是开放的,可以共用他人的经验,很好的支持用户发现潜在的兴趣偏好
而它也存在以下几个问题:
1. 方法的核心是基于历史数据,所以对新物品和新用户都有“冷启动”的问题。
2. 推荐的效果依赖于用户历史偏好数据的多少和准确性。
3. 在大部分的实现中,用户历史偏好是用稀疏矩阵进行存储的,而稀疏矩阵上的计算有些明显的问题,包括可能少部分人的错误偏好会对推荐的准确度有很大的影响等等。
4. 对于一些特殊品味的用户不能给予很好的推荐。
5. 由于以历史数据为基础,抓取和建模用户的偏好后,很难修改或者根据用户的使用演变,从而导致这个方法不够灵活。
7、混合的推荐机制
在现行的 Web 站点上的推荐往往都不是单纯只采用了某一种推荐的机制和策略,他们往往是将多个方法混合在一起,从而达到更好的推荐效果。关于如何组合各个推荐机制,这里讲几种比较流行的组合方法。
1. 加权的混合(WeightedHybridization):用线性公式(linear formula)将几种不同的推荐按照一定权重组合起来,具体权重的值需要在测试数据集上反复实验,从而达到最好的推荐效果。
2. 切换的混合(SwitchingHybridization):前面也讲到,其实对于不同的情况(数据量,系统运行状况,用户和物品的数目等),推荐策略可能有很大的不同,那么切换的混合方式,就是允许在不同的情况下,选择最为合适的推荐机制计算推荐。
3. 分区的混合(MixedHybridization):采用多种推荐机制,并将不同的推荐结果分不同的区显示给用户。其实,Amazon,当当网等很多电子商务网站都是采用这样的方式,用户可以得到很全面的推荐,也更容易找到他们想要的东西。
4. 分层的混合(Meta-LevelHybridization):采用多种推荐机制,并将一个推荐机制的结果作为另一个的输入,从而综合各个推荐机制的优缺点,得到更加准确的推荐。
具体模型
1 建立矩阵
用户的评分分为显式评分和隐式评分,这次的数据只有隐式评分即,浏览、收藏、加购物车及购买。
表1. 用户行为定义表
| 行为名称 | 行为描述 |
| 浏览次数 | 取值为浏览点击数字 |
| 收藏 | 取值为(0,1),1为收藏 |
| 加入购物车 | 取值为(0,1),1为加入 |
| 购买 | 取值为(0,1),1为购买 |
进行数据的处理得到结构化数据
表2. 访问行为结构化数据表
| 序号 | 用户标识 | 商品标识 | 浏览次数 | 收藏 | 加购物车 | 购买 |
| 1 | User1 | Item1 | 1 | 1 | 1 | 0 |
| 2 | User1 | Item2 | 5 | 0 | 1 | 1 |
| 3 | User2 | Item1 | 1 | 1 | 0 | 1 |
| N | UserN | Item1 | 0 | 0 | 0 | 1 |
假设m代表用户数,n代表商品数;代表用户口对商品j的实际评分,1≤i≤m,1≤j≤n;则将用户行为转化为隐式评分的规则如下:
1)如果用户i购买了商品j,则=5;
2)如果用户i将商品j加入购物车,则=4;
3)如果用户i将商品j加人收藏夹,则=3;
4)如果用户i对商品j的浏览次数为2次以上,则=2;若点击次数为1次,则=1;
评分规则可以通过推荐结果的准确程度进行调整;
通常用户对于一件商品会同时做多项操作,例如一个用户先点击商品,加人收藏夹,然后放入购物车,并最终购买,则取其中评分值最高者。
然后可以建立用户-商品评分矩阵

2 时间维度
2.1 H.Ebbinghaus遗忘曲线
用户的兴趣是动态变化的,用户近期访问和评分的商品更能反应用户当前的兴趣爱好,更能影响用户当前的购买决策。而早期访问的商品对于用户当前可能产生兴趣的商品的影响作用较小,即用户的访问行为和评分的重要性会随着时间不断衰减。用户的消费行为可以认为是一种心理行为,遵循遗忘曲线的规律。

图1 遗忘曲线
表示开始时间,表示对项目的评分时间。该处的评分时间是指用户对商品的综合评分时间,即行为发生的时间。t表示用户对商品的评分时间与有效起始时间的间隔:t=-。
表示用户兴趣随时间变化的指数函数公式(1)如下所示:
(1)
式中,权重λ属于(0,1),可以根据推荐结果的准确性动态调整。λ越大,表示兴趣随时间衰减越快,反之则越慢。
2.2 推荐过程
2.2.1 基于用户的协同过滤
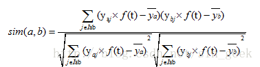
步骤1:利用改进的Pearson相关系数公式计算两个用户之间的相似性,公式如下:
(2)
式中:yaj,ybj分别表示用户a和用户b对商品j的评分,Iab表示用户a和用户b共同评分过的项目集合,f(t)为遗忘函数,
表示用户a评分过的商品集合的平均得分,
表示用户b评分过的商品集合的平均得分。
步骤2:将和用户a相似度最高的前k个用户作为它的最近邻居集合U。
步骤3:综合邻居用户对商品j的评价并预测用户a对商品j的评分。假设c代表邻居用户,PS(a,j)代表目标用户的预测评分,则预测评分的公式如下:
(3)
步骤4:将预测评分最高的前n个商品作为系统推荐的商品。
2.2.2 基于商品的协同过滤
步骤1:利用改进的Pearson相关系数公式计算两个商品之间的相似性,可以加上项目类别属性,公式如下:
(4)
式中:,分别表示商品a和商品b对商品j的评分,表示商品a和商品b有共同评分的用户集合,为遗忘函数,,分别表示商品a和商品b在平均得分。表示商品a和商品b的类别相似度,这里取值0或1。是平衡参数,可先取0.5。
步骤2:将和商品a相似度最高的前k个作为它的最近邻集合I。
步骤3:对目标用户未评分的商品根据公式(4)进行预测评分,从大到小排序,取N个值所对应的项目进行推荐。
2.2.3 混合加权
把基于用户的推荐与基于商品的推荐,再考虑地理位置的因素,综合加权。

至于空间地理位置直接单独聚类,然后加权进去。
最后
以上就是狂野外套最近收集整理的关于阿里移动推荐算法大赛——推荐算法推荐系统理论分析推荐引擎算法原理具体模型的全部内容,更多相关阿里移动推荐算法大赛——推荐算法推荐系统理论分析推荐引擎算法原理具体模型内容请搜索靠谱客的其他文章。
发表评论 取消回复