直接插入排序基本思想是:仅有一个元素的序列总是有序的,
因此,对 n 个记录的序列,可从第二个元素开始直到第 n 个元素,
逐个向有序序列中执行插入操作,从而得到 n 个元素按关键字有序的序列。
一般来说,在含有 j-1 个元素的有序序列中插入一个元素的方法是:
从第 j-1 个元素开始依次向前搜索应当插入的位置,并且在搜索插入位置的同时可以后移元素,
这样当找到适当的插入位置时即可直接插入元素
直接插入排序的实现
import java.util.Arrays;
public class TestInsertSort {
public static void sort(int arr[]) {
//外层循环,从第二个元素开始,到最后一个结束
for(int i = 1;i<= arr.length-1;i++){
//如果第i个大于第i-1个,无需排序,此轮排序结束,进入下一轮
if(arr[i] < arr[i-1]){
//从后向前比较 i-1,i-2,i-3.....1,0
int temp = arr[i];
int j;
//内循环,从i-1个元素开始向前比较,比较到小于temp的元素为止(可能首元素都大于temp)
// for(j = i-1;j>=0;j--){
// if(temp < arr[j]){
// arr[j+1] = arr[j];//后移一个元素
// }else{
// break;
// }
// }
for(j = i-1;j>=0 && temp<arr[j];j--){
arr[j+1] = arr[j];//后移一个元素
}
//将元素插入指定位置
arr[j+1] = temp;
}
}
}
public static void main(String[] args) {
int arr [] = {26, 53,48,11,13,48,32,15};
sort(arr);
System.out.println(Arrays.toString(arr));
}
}
直接插入排序的分析
空间效率:仅使用一个辅存单元。
时间效率:假设待排序的元素个数为 n,则向有序表中逐个插入记录的操作进行了 n-1趟,
每趟操作分为比较关键码和移动记录,而比较的次数和移动记录的次数取决于待排序列
按关键码的初始排列。
⑴ 在最好情况下,即待排序序列已按关键字有序,每趟操作只需 1 次比较 0 次移动。此时有:
总比较次数 = n-1 次
总移动次数 = 0 次
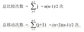
⑵ 在最坏情况下,即待排序序列按关键字逆序排序,这时在第 j 趟操作中,为插入元
素需要同前面的 j 个元素进行 j 次关键字比较,移动元素的次数为 j+1 次。此时有:
⑶ 平均情况下:即在第 j 趟操作中,插入记录大约需要同前面的 j/2 个元素进行关键字比较,移动记录的次数为 j/2+1 次。
此时有:
总比较次数 ≈ n2 /4 次
总移动次数 ≈ n2 /4 次
由此,直接插入排序的时间复杂度为O(n2 )
稳定性:稳定
最后
以上就是热心大象最近收集整理的关于直接插入排序算法的原理及Java版实现方式的全部内容,更多相关直接插入排序算法内容请搜索靠谱客的其他文章。
本图文内容来源于网友提供,作为学习参考使用,或来自网络收集整理,版权属于原作者所有。
发表评论 取消回复