基础概念
- 数字图像:图像可定义为一个二维函数f(x,y),幅值f为图像的强度(灰度)。当x,y,f是有限的离散数值时,该图像为数字图像。
- 数字图像处理:借助于数字计算机来处理数字图像。
- 亮度函数、入射分量、反射分量:

- 马赫带效应:

- 同时对比度:

- 亮度恒定:当物体对背景的亮度、对比度保持一致时,即使物体和背景的亮度在很大的范围里变化,人眼对亮度的感觉仍保持不变。
- 空间频率特征:空间频率是指视像空间变化的快慢。清晰明快的画面,意味这有大量的高频成分。模糊图像只有低频空间成分。
- 图像的取样与量化:数字化坐标轴称为取样,数字化幅度值称为量化。
图像属性
- 动态范围:有时灰度级取值范围称为图像的动态范围。
- 灰度级:灰度级的典型的取值是2的整数次幂。通常假设离散灰度级是等间隔的并且是区间[0,L-1]内的整数 。
- kbit图像:当一副图像有2k灰度级时,通常称该图像是K比特图像
- 图像分辨率:实际上指对原始图像的采样分辨率。单位“象素点/单位长度”
- 采样分辨率:单位长度上所包含的采样数
- 灰度分辨率:灰度级中可分辨的最小变化(8比特的灰度分辨率图像有256个灰度级)
- 图像深度:在位图图像中,表示各象素点亮度或色彩信息的二进制位数。
- CMYK RGB HSI (HSV,HSB,HSL)
基础计算
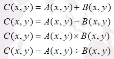
- 点运算:是点对点的对灰度值进行计算

- 代数运算:图像点对点的代数运算,不是矩阵的运算

- 几何运算:涉及图像的转动、扭曲、倾斜、拉伸,空间点位置的变化、灰度值的变化
- 最邻近插值:最近的输入像素的灰度值
- 双线性插值、线性插值:令f(x,y)为两个变量的函数,其在单位正方形顶点的值已知。假设我们希望通过插值得到正方形内任意点的f(x,y)值。我们可由如下双曲线方程:f(x,y)=ax+by+cxy+d
- 灰度变换:将一个灰度区间映射到另一个灰度区间的变换称为灰度变换。
- 直方图 累积直方图 连续图像幅度的密度函数,幅度分布函数
- 灰度直方图:灰度直方图是灰度级的函数,它表示图像中具有某种灰度级的像素的个数,反映了图像中某种灰度出现的频率。
- 线性系统: 叠加性+齐次性 ay1+by2=T[ax1+bx2]
- 移不变系统:是指如果输入序列进行移位,则输出序列进行相应的移位。
- 线性移不变系统:同时具有线性性和移不变性。
- 卷积:



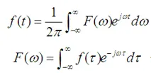
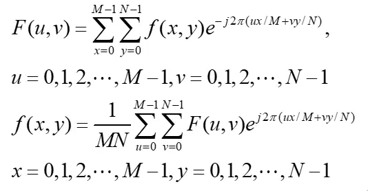
傅立叶
- 傅立叶变换对(公式):


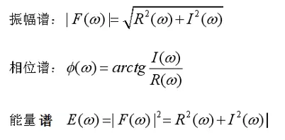
- 傅立叶振幅谱 傅立叶相位谱 傅立叶能量谱

频域滤波
低频包含基本内容,高频包含细节与噪音
低通平滑,高通锐化

- (理想)低通滤波:
具有振铃现象

- 巴特沃思低通滤波BLPF:

模糊程度减少但尾部含有较多的高频,对噪声的平滑效果不如ILPF。 - 指数低通滤波器、梯形低通滤波器
- 高通滤波
- 同态滤波:

取对数、傅立叶变换、乘上高/低通过滤器、傅立叶逆变换、求指数
图像增强技术 图像复原技术
- 退化:图像的质量变坏叫做退化。退化的形式有图像模糊、图像有干扰等
- 均值滤波 中值滤波 最大值滤波 最小值滤波 中点滤波((最大+最小)/2)
- 自适应中值滤波:

彩色图像
- 安全色216种
- RGB/CMYK
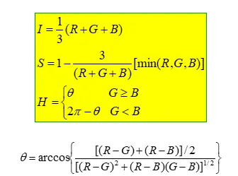
- HSI:色调、饱和度、亮度

- 伪彩色:伪彩色处理是指将黑白图像转化为彩色图像,或者是将单色图像变换成给定彩色分布的图像。主要有密度分层法、灰度级-彩色变换法、频域滤波法
形态学
- 腐蚀、膨胀
- 开操作:先腐蚀,再膨胀
- 闭操作:先膨胀,再腐蚀
- 边缘提取、填充
图像分割
- Roberts算子:

- Prewitt算子:

- Sobel算子:

- 拉普拉斯算子:

- 域值法:全局门限,局域门限,动态自适应门限
- 全局域值自动分割:
对于有明显双峰得得直方图可以通过程序,然计算机自动实现.算法:
1.选择一个初始化得估计域值T.
2.用T分割图像,生成两组数据,G1,G2;
3.求两组数据的平均灰度值u1,u2
4.计算新门限值:T=(u1+u2)/2
5.重复2到4,直到迭代所得到的T值之差小于指点的参数T0. - 区域分裂与合并
- 分水岭算法
图像表示与描述
- 链码 多边形近似 边界分段 标记图
- 一阶差分码 形状数
- 傅立叶描述子
- 统计矩


计算
- 直方图均衡化 直方图规定化
- 形态学 操作(腐蚀、膨胀、开、闭、填充……)
- 图像表示:链码 一阶差分码 形状数 灰度共生矩
最后
以上就是专一小猫咪最近收集整理的关于数字图像处理 知识点的全部内容,更多相关数字图像处理内容请搜索靠谱客的其他文章。
本图文内容来源于网友提供,作为学习参考使用,或来自网络收集整理,版权属于原作者所有。
发表评论 取消回复