基于配对的密码学是椭圆曲线密码学的一种变体。由于配对的特点,新的密码算法和协议可以实现传统密码学无法实现的功能或效率,例如基于身份的加密(IBE)、基于属性的加密(ABE)、认证密钥交换(AKE)和短签名。

基于配对的密码学的几种应用已在许多区块链中得到实际应用。
Zcash实现了自己的零知识证明算法,名为 zk-SNARKs(零知识简洁非交互式知识论证)- 以太坊支持配对检查以执行 zkSNARK 验证
- DFINITY(现在称为互联网计算机)构建了一个基于 BLS 签名的方案,比 ECDSA 签名更短。
我们将展示配对可以直接在 BSV 上实现,从而使以前认为不可能在 BSV 上实现的各种基于配对的密码学应用成为可能。
双线性配对
配对 e 只是一个函数,它接受两个输入1 并返回一个输出,如下所示。

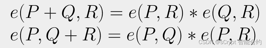
双线性配对具有以下性质:

也就是说,它在每个输入中都是线性的。很容易看到以下成立。

直观地说,可以在其输入之间交换标量 n 并将其作为指数取出。
示例
让我们看看下面的配对函数。

它是双线性的,因为它满足上面的两个方程。例如,

椭圆曲线上的双线性配对
实际上,上述配对对于加密使用来说并不安全。相反,我们使用椭圆曲线上的配对。输入是椭圆曲线上的点,输出是数字2。有多种方法可以在椭圆曲线上构建配对,例如 Weil 配对、Tate 配对 和 Ate 配对。
米勒算法
米勒算法 (Miller’s algorithm) 用于有效地计算配对。它由两部分组成:
- 主循环:第
3行到第10行。在计算标量点乘法时,它在结构上类似于双加算法。 - 第
11行的最终求幂。
p、k 和 r 是椭圆曲线所用的参数3。

实现
我们已经实现了米勒算法来计算下面的Tate配对,基于我们的椭圆曲线算术库。
static function millerLoop(Point P, Point Q): int {
Point T = P;
int f = 1;
// main miller loop
loop (N) : i {
f = f * f * linefunc(T, T, Q);
T = EC.doublePoint(T);
int j = N - 1 - i;
if (r & (mask << j)) {
f = f * linefunc(T, P, Q);
T = EC.addPoints(T, P);
}
}
return f;
}
// compute the pairing e(P, Q)
static function pairing(Point P, Point Q): int {
int f = millerLoop(P, Q);
// final exponentiation
return pow(f, EXP);
}
linefunc(P, Q, R) 是一个通过 P 和 Q 并在 R 处求值的线性函数。
[1] 因而称为配对。
[2] 严格来说,它是乘法群中的一个元素。由于这是对配对的介绍,因此我们在整篇文章中选择可读性而不是数学严谨性。
[3] 并非所有椭圆曲线都可以用于配对。在实践中只使用那些能够高效计算的配对的曲线。它们被称为配对友好曲线,其中 Barreto-Naehrig (BN) 或 Boneh-Lynn-Shacham (BLS) 曲线是值得注意的例子。
最后
以上就是有魅力酒窝最近收集整理的关于BSV 上的双线性配对的全部内容,更多相关BSV内容请搜索靠谱客的其他文章。
发表评论 取消回复