线性模型试图通过一个属性的线性组合来得到一个预测值进行预测,即

或者可以写成矩阵形式,即

其中和b通过学习得到,线性模型非常容易理解,他通过对所有属性进行综合考虑来进行预测,其中权值可以理解为某个属性的重要程度,例如在判断苹果是否成熟的问题上,表皮的颜色就是很重要的判断依据,而相对来说苹果的形状可能没有那么重要,在模型中则反映在权值的大小上。线性模型也是许多复杂模型的基础,理解线性模型有助于后续的学习,下面介绍几种经典的线性模型。
线性回归(linear regression)
线性回归试图用上面所说的线性模型一般形式来预测输出,通过“最小二乘法”即使得预测输出与真是标记的均方差最小来确定和b的值。首先来讨论简单的输入形式,假设数据集
,其中
。首先我们讨论较为简单的情况,令d=1,即只有一个属性的输入,对于离散的属性若属性存在“序”,可通过连续化将其转化为连续值,例如“身高”的取值“高”、“矮”转化为{1,0},若不存在序的关系的有k个取值的属性,则转化为k维向量如(1,0,0)、(0,1,0)的形式。
最小二乘法中的关键是均方差函数,对于上述输入我们定义均方差函数,我们对
和b求偏导,得到
和
,令两个偏导为0,可得到
和b的解。
当数据集D的样本由d个属性描述的时候,称为多元线性回归(multivariate linear regression)将我们的回归方程用矩阵表示,一样使用最小二乘法进行参数估计,这里涉及对矩阵的求导运算,当我们希望预测y的衍生物时,则模型就是广义线性模型,形如
,其中g()为单调可微函数。
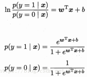
对数几率回归
用对数几率函数替代单位阶跃函数后便可得到对数几率回归模型,将代入广义线性模型的
中也可以得到这个模型,得到
,将y视为样本x作为正例的可能性,1-y是其反例可能性,两者比值
称为几率。根据上面说的概率我们将等式改写成

用最大似然法来估计和b,具体不再展开。
线性判别分析(Linear Discriminant Analysis)

其算法思想就是选取一条合适的直线,将所有的样本点投影到该直线上,令同类样本的投影点尽可能近,不同类样本的投影点尽可能远,令、
、
分别表示第i类示例的集合、均值向量、协方差矩阵,将数据投影到直线
上,则两类样本的中心在直线上的投影分别为
和
,两类样本的协方差分别是
和
,为了达成上述目的,使
+
尽可能小,
尽可能大,定义几个量
类内散度矩阵

类间散度矩阵

LDA欲最大化目标

由拉格朗日乘子法可以确定参数,在解方程中要用到奇异值分解,这里不展开讨论,LDA可以很容易的推广到多分类任务中,基本思想与二分类任务相同,最优化目标有很多种。
多分类任务,几种基本思路就是用二分类的组合策略去实现多分类任务,包括OvO(一对一)、OvR(一对多)、MvM(多对多),其中OvO(一对一)、OvR(一对多)一般采用多数投票制,而MvM的正反例都得特殊构造,例如纠错输出码。

上图左边是OvO模型,右边是OvR模型。

ECOC(纠错输出码)中选取与测试示例距离最近的类别作为输出,具有一定的纠错能力。
第三章习题待续
最后
以上就是自信羽毛最近收集整理的关于机器学习-学习笔记(三)第三章 线性模型的全部内容,更多相关机器学习-学习笔记(三)第三章内容请搜索靠谱客的其他文章。
发表评论 取消回复