西瓜书学习笔记第3章(线性模型)
- 3.1基本形式
- 3.2线性回归
- 3.3对数几率回归
- 3.4线性判别分析(Linear Discriminant Analysis ,简称LDA)
- 3.5多分类学习
- 3.6类别不平衡问题
3.1基本形式
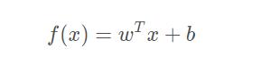
给定由 d 个属性描述的示例 x = (x1;x2;…;xd) ,其中 xi 是 x 在第 i 个属性上的取值,线性模型(linear model)试图学得一个通过属性的线性组合来进行预测的函数,即

一般用向量形式写成

非线性模型(nonlinear model)可在线性模型的基础上通过引入层级结构或高维映射而得。此外,由于 w 直观表达了个属性在预测中的重要性,因此线性模型有很好的可解释性(comprehensibility)。
3.2线性回归
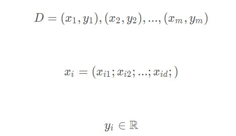
给定数据集
线性回归试图学得一个线性模型来尽可能的准确预测实值输出标记。
对离散属性,若属性之间存在“序”(order)的关系,可通过连续化将其转化为连续值。例如“高”和“矮”可以转化为{1.0,0.0},“高”、“中”、“低“可以转化为{1.0,0.5,0.0}。若属性之间不错在序关系,假定有 k 个属性值,则通常转化为 k 维向量。例如”西瓜“、”黄瓜“、”南瓜“可以转化为(0,0,1),(0,1,0),(1,0,0)。
线性回归试图学得
均方误差最小化:可以求得 w 和 b,对应了”欧氏距离“,基于均方误差最小化来进行求解的方法称为”最小二乘法“——试图找到一条直线,使得所有样本到直线的欧氏距离之和最小。

其中
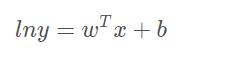
对数线性回归:
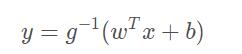
广义线性模型:
其中g为单调可微函数,称为“联系函数”。
3.3对数几率回归
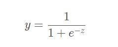
对于二分类任务,最理想的是”单位阶跃函数“,但是其不连续,不能直接用于上文中的 g-(.),所以一般使用对数几率函数:

将其作为 g-(.) 代入得:
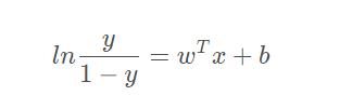
即:
其对应的模型称为”对数几率回归“(logistic regression),是一种分类学习方法。这种方法有很多优点:
- 直接对分类可能性进行建模,无需事先假设数据分布,避免了假设分布不准确带来的问题;
- 不是仅预测出类别,而是可得到近似概率预测,这对许多需要利用概率辅助决策的任务很有用;
- 对率函数是任意阶可导的凸函数,有很好的数学性质,现有的许多数值优化算法都课直接用于求取最优解
3.4线性判别分析(Linear Discriminant Analysis ,简称LDA)
亦称 Fisher判别分析。
LDA 的思想:给定训练样例集,设法将样例投影到一条直线上,使得同类样例的投影点尽可能近、异类样例的投影点尽可能远;对新样本进行分类时,将其投影到这条线上,再根据投影点的位置来确定类别。

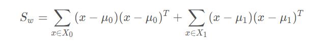
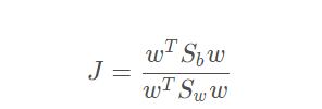
类内散度矩阵(within-class scatter matrix):
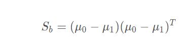
类间散度矩阵(between class scatter matrix):
欲最大化的目标:
即 Sb 与 Sw 的”广义瑞利商“(generalized Rayleigh quotiet)。
3.5多分类学习
基本思路:”拆解法“,将多分类任务拆解为若干个二分类任务求解。涉及到多分类任务的拆分,以及对多个分类器的集成。
经典拆分策略:
1.一对一(OvO)One
将 N 个类别两两配对,从而产生 N(N-1)/2 个分类任务,最终结果可通过投票产生,把被预测的最多的作为分类结果。
2.一对其余(OvR)Rest
每次将一个类作为正例,其他所有类作为反例来训练 N 个分类器。在测试时,若只有一个分类器预测为正类,则作为最终分类结果。若有多个分类器预测为正类,则通常考虑各分类器的预测置信度,选择置信度最大的类别标记作为分类结果。
3.多对多(MvM)Many
每次将若干个类作为正类,若干个其他类作为反类。正反类的构造必须有特殊的设计,通常使用”纠错输出码“(Error Correcting Output Codes,简称 ECOC)。
纠错输出码(ECOC),将编码的思想引入类别拆分,并尽可能在解码过程中具有容错性。其工作过程分为两步:
- 编码:对 N 个类别做 M 次划分,形成 M 个二分类训练集,训练出 M 个分类器。
- 解码:M 个分类器分别对测试样本进行预测,这些预测标记组成一个编码,将这个预测编码与每个类各自的编码进行比较,返回其中距离最小的类别作为最终预测结果。
类别划分通过“编码矩阵”(coding matrix) 指定,常见的有二元码和三元码。前者将每个类别分别指定为正类和反类;后者在正反类之外,还可以指定“停用类”。
一般来说,对同一个学习任务, ECOC 编码越长,纠错能力越强.
对同等长度的编码,理论上来说,任意两个类别之间的编码距离越远,则纠错能力越强.
3.6类别不平衡问题
类别不平衡(class-imbalance) ,指分类任务中不同类别的训练样例数目差别很大的情况。
“再缩放”策略:只要分类器的预测几率,高于观测几率,就应判断为正例,即

则预测为正例。
常用三种做法:
- 欠采样:去除一些反例,使得正反例数目接近。
- 过采样:增加一些正例,使得正反例数目接近。
- 阈值移动:上文“再缩放”策略。

参考博文链接https://blog.csdn.net/qq_38962336/article/details/106397677
最后
以上就是伶俐小虾米最近收集整理的关于西瓜书学习笔记第3章(线性模型)3.1基本形式3.2线性回归3.3对数几率回归3.4线性判别分析(Linear Discriminant Analysis ,简称LDA)3.5多分类学习3.6类别不平衡问题的全部内容,更多相关西瓜书学习笔记第3章(线性模型)3.1基本形式3.2线性回归3.3对数几率回归3.4线性判别分析(Linear内容请搜索靠谱客的其他文章。
发表评论 取消回复