1.线性可分支持向量机
首先来说,支持向量机其实就是样本与超平面之间的间隔最大,其实是一个求最优问题。在说间隔最大的问题前,先说函数间隔和几何间隔。
1.1 函数间隔与几何间隔
对于给定的训练数据集T和超平面(w,b),定义超平面(w,b)关于样本点(xi,yi)的函数间隔为

定义超平面(w,b)关于训练数据集T的函数间隔为超平面(w,b)关于T中所有样本点(xi,yi)的函数间隔最小值,为:

函数间隔表示分类预测的正确性及确信度,但只有函数间隔还不够,因为若w,b变成2w,2b,超平面并没有变化,但是函数间隔变为原来的2倍,所以需要对w加约束,规范化||w|| = 1,即函数间隔转换成几何间隔。
几何间隔为: 
一般当样本点(xi,yi)被超平面(w,b)正确分类时,点xi与超平面(w,b)的距离为:
yi (
)
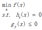
1.2间隔最大化
由上面发现几何间隔是
,求最大间隔分离超平面,表示为带有约束最优化问题:
max 
s.t. yi (
)>=
函数间隔与几何间隔仅差除个||w||,
=
2.拉格朗日乘子法以及KKT条件
拉格朗日乘子法是一种优化算法,主要用来解决约束优化问题。他的主要思想是通过引入拉格朗日乘子来将含有n个变量和k个约束条件的约束优化问题转化为含有n+k个变量的无约束优化问题。
利用拉格朗日乘子法主要解决的问题为:等式的约束条件和不等式的条件约束。
对于非等约束条件的求解,需要满足KKT条件才能进行求解。下面对于KKT条件进行分析。
不等式约束优化问题:

得到拉格朗日乘子法的求解方程:

给出KKT条件:

3.为什么给出KKT条件?
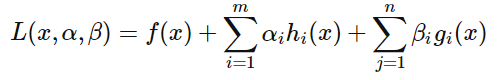
我们引入拉格朗日函数L(x,α,β)将有约束的优化问题转换为无约束的优化问题,然后对原问题的参数求导,获得使拉格朗日函数最小的拉格朗日对偶函数g(α,β),最后使得对偶函数最大的问题则成为原问题的对偶问题。(对偶函数给出了主问题最优解的下界。那么下界最大是什么,这就是主问题的对偶问题)
因此对于上面拉格朗日乘子法问题的描述表达为:

但其实是仍然个很难解决的问题,因为我们要先解决不等式约束的max问题,然后再在x上求最小值。怎么办呢?如果能把顺序换一下,先解决关于x的最小值,在解决关于α、β的不等式约束问题就好了。即,

假设原问题为p,对偶问题为d,事实上,p和d并不完全相等,此处含有一个性质:弱对偶性
即:

而他两个的差即为对偶间隙
解释:我们是想通过对偶问题求解原问题的最优解,所以只有当二者相等时才可能将原问题转化成对偶问题进行求解。消除对偶间隙,使p = d,需要满足一定条件,而这个条件便是 slater条件和KTT条件。
在凸优化理论中,有一个Slater定理,当这个定理满足,结合KKT条件,那么对偶间隙就会消失,就是强对偶性成立。

最后
以上就是幽默棉花糖最近收集整理的关于SVM(支持向量机)函数间隔与几何间隔仅差除个||w||, = 2.拉格朗日乘子法以及KKT条件3.为什么给出KKT条件?的全部内容,更多相关SVM(支持向量机)函数间隔与几何间隔仅差除个||w||, = 2内容请搜索靠谱客的其他文章。

发表评论 取消回复