存在一个按升序排列的链表,给你这个链表的头节点 head ,请你删除所有重复的元素,使每个元素 只出现一次 。
返回同样按升序排列的结果链表。
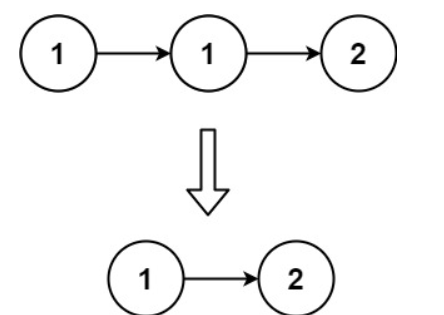
示例 1:
输入:head = [1,1,2]
输出:[1,2]
提示:
链表中节点数目在范围 [0, 300] 内
-100 <= Node.val <= 100
题目数据保证链表已经按升序排列
复杂代码:运行时间1MS
public ListNode deleteDuplicates(ListNode head) {
ListNode p=head,p1=head;
if(head==null||head.next==null) {
return head;
}
int a=head.val;
p=p.next;
while(p!=null) {
if(p.val==a) {
while(p!=null) {
if(p.val!=a) {
p1.next=p;
p1=p1.next;
a=p.val;
p=p.next;
break;
}
p=p.next;
}
}else {
p1.next=p;
p1=p1.next;
a=p.val;
p=p.next;
}
}
if(p==null) {
p1.next=null;
return head;
}
return head;
}
修改版代码:运行时间0MS
public ListNode deleteDuplicates(ListNode head) {
ListNode p=head,p1=head;
if(head==null||head.next==null) {
return head;
}
int a=head.val;
p=p.next;
while(p!=null) {
if(p.val!=a) {
p1.next=p;
p1=p1.next;
a=p.val;
}
p=p.next;
}
if(p==null) {
p1.next=null;
return head;
}
return head;
}
最后
以上就是秀丽书包最近收集整理的关于【java】83. 删除排序链表中的重复元素---使用一个while循环解决问题,思路简单化,时间复杂度O(N)的全部内容,更多相关【java】83.内容请搜索靠谱客的其他文章。
本图文内容来源于网友提供,作为学习参考使用,或来自网络收集整理,版权属于原作者所有。
发表评论 取消回复