轮胎的模型包括:理论模型、经验模型、半经验模型、自适应模型。本文采用三角函数拟合的魔术公式(Magic Formula)。该公式可以表达出轮胎在行驶过程中纵向力F_x、侧向力F_y、侧翻力矩M_x、滚动阻力矩M_y、回正力矩M_z的联合作用工况,以及与滑移率s、侧偏角α、外倾角γ、车轮垂直载荷F_z之间的关系,魔术公式输入、输出变量关系如图所示。
上图为魔术公式的输入变量和输出变量
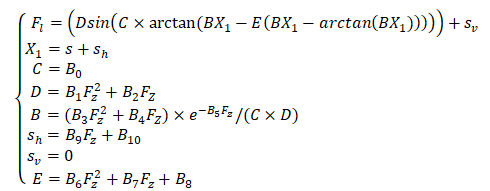
(1)轮胎纵向力计算方法
式中,s为纵向滑移率,s_h为曲线的水平方向漂移, s_v为曲线的垂直方向漂移。C为曲线的形状因子,D为曲线巅因子,B为刚度因子,E为曲线的曲率因子。
(2)轮胎侧向力计算方法


不同垂直载荷下纵向力与滑移率的关系

不同垂直载荷下侧向力与侧偏角的关系

实现代码https://download.csdn.net/download/weixin_43796045/19374646
最后
以上就是超级墨镜最近收集整理的关于轮胎魔术公式的全部内容,更多相关轮胎魔术公式内容请搜索靠谱客的其他文章。
本图文内容来源于网友提供,作为学习参考使用,或来自网络收集整理,版权属于原作者所有。
发表评论 取消回复