第一章 绪论
1.1通信的基本概念
通信:交流,传递消息;信息的传输与交换
信息是要表示和传送的对象。
消息是表示信息的媒体。
信号是消息的承载者。
1.2通信系统模型
(1)通信系统一般模型

信息源(信源):把各种消息转换成原始电信号,如麦克风
发送设备:产生适合于在信道中传输的信号。
信道:将来自发送设备的信号传送到接收端的物理媒质。
接收设备:从受到减损的接收信号中正确恢复出原始电信号。
受信者(信宿):把原始电信号还原成相应的消息,如扬声器等
噪声源:集中表示分布于通信系统中各处的噪声。
(2)模拟信源与数字信源
模拟(连续)消息:状态连续变化,例如语音,图像
数字(离散)消息:状态可数或离散,如符号,文字,数据
模拟信号:载荷消息的电参量连续取值
数字信号:载荷消息的电参量离散取值
模拟通信系统:信道中传输模拟信号,例如传统广播和电视
数字通信系统:信道中传输数字信号,例如2G, 3G
(3)模拟通信系统模型

模拟信源:输出模拟消息,并把消息变换成原始的模拟电信号。
调制器:将原始信号变换成适于信道传输的信号。
信道:传输已调信号。
解调器:将接收到的已调制信号还原成原始电信号。
受信者(信宿):将接收到的电信号转换为消息的原始信号模式。
(4)数字通信系统

信源编码与译码:提高信息传输的有效性,完成模/数转换
加密与解密:保证所传信息的安全
信道编码与译码:增强抗干扰能力
数字调制与解调:形成适合在信道中传输的带通信号
同步:使收发两端的信号在时间上保持步调一致
(5)数字通信的特点
①优点:
抗干扰能力强,可消除噪声积累;差错可控,传输
性能好;
便于处理和管理,便于传输和交换
便于与各种数字终端接口,用现代计算技术对信号
进行处理、加工、变换、存储,形成智能网;
便于集成化,从而使通信设备微型化;
便于加密处理,且保密程度高。
②缺点:
频带利用率低:比模拟通信占据更宽的系统频带。
一路模拟电话:4KHz,接近同样话音质量的一路数
字电话:20-60KHz。
对同步要求高,系统设备比较复杂。
(6)广播通信与点对点通信
广播通信:一个发送者,多个接收者。
点对点通信:一个发送者,一个接收者。
(7)单工与双工通信
单工通信:只能在一个方向上传输消息。
全双工通信:同时双向传输消息。
半双工通信:不能同时双向传输消息。
(8)存储系统
存储系统也是有一个通信系统,数据的存储和读出过程就是一个通信过程。
1.3信道
信道是发信者和收信者间电信号传输的通道。根据信号在信道中的传输模式,信道可分为导向传输信道和自由传输信道。
(1)信道对信号的影响
①信号在传输过程中会衰减,信号功率会随着传输距离的增加而下降;
②信号传输中会叠加噪声。
(2)有限信道
①双绞线 ②同轴电缆 ③光纤
(3)无线信道和电波传播

①主要电磁波传播模式
地波传播:电磁波沿着地球表面传播,是频率在2MHz以下电磁波的主要传播模式。
天波传播:电磁波依靠电离层的反射进行传播的模式,是2~30MHz频率范围内电磁波的主要传播模式。
视线传播:收发天线间的直线传播,频率超过30MHz的电磁波能直接穿过电离层,基本不会反射回地面,同时也不能沿地球表面传播。
②常见无线信道:无线电视线中继信道、卫星中继信道、无线电广播信道、移动通信信道。
1.4 信息及其度量
信息量的定义:

1.5 通信系统的主要性能指标
基本指标:
1.有效性:反映通信系统利用资源的效率;
2.可靠性:反映系统信息传输的可靠程度。
(1)数字通信系统的主要性能指标:传输速率和差错率
符号(码元)传输速率Rs :每秒钟传送的符号数量,单位为“波特”(baud或B),又称传码率。
信息传输速率Rb :每秒钟传送的信息速率,单位为“比特/秒”(bit/s),又称传信率。
符号速率与信息速率之间的关系:若每个符号有 M
种可能状态(或称 M 进制符号),则有

频带利用率η :传输速率与系统带宽之比,单位为bit/s/Hz或Baud/Hz
误符号率(误码率) :符号在传输系统中被传错的概率:

误比特率(误信率):符号信息量在传输系统中被丢失的概率:

(2)模拟通信系统的主要性能指标:
输出信噪比(仅考虑加性干扰):接收端输出的信号平均功率与噪声平均功率之比(SNR)。
电话:SNR > 40dB, 话音清晰度 > 95%
电视:SNR = 40~60dB
信号的信噪比越大,则信号的失真就越小。
通信系统的有效性和可靠性是相互制约的,提高有效性会导致可靠性降低,而提高可靠性又有可能降低有效性。通信系统设计的一个重要目标就是在一定的可靠性要求下,尽可能地提高消息传输的有效性;或反过来,在一定有效性的要求下,尽可能地提高消息传输的可靠性;或者在一定资源制约下,实现有效性和可靠性的一个折中。
(3)香农公式:

第二章 信号与噪声分析
2.1 确定信号分析
确定信号是指可以用确定的时间函数表示的信号,他在定义域内任意时刻都有确定的函数值。
(1)确定信号的分类
周期信号与非周期信号;
能量信号与功率信号:
如果一个信号f(t)在整个时间域内都存在,平均功率则定义为:

若P<∞,则称f(t)为功率信号。一般地,周期信号为功率信号。非周期非限时信号也可能是功率信号。
基带信号与频带信号:
如果信号的主要功率或能量集中在零频附近,则称这种信号为基带信号。如果信号的主要功率集中在某一载波频率附近,则称这种信号为频带信号。
(2)周期信号的傅里叶级数
①三角形式的傅里叶级数
②指数形式的傅里叶级数
③周期信号的平均功率和功率谱:

周期信号的功率谱是离散谱,只与幅度谱有关,与相位谱无关。
(3)傅里叶变换
略
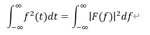
(4)能量谱密度和功率谱密度
帕赛瓦尔公式:

信号的带宽:
①等效矩形带宽
如果基带信号f(t)能量谱E(f)或功率谱P(f)在零频率处最大,则等效矩形带宽定义为:

②3dB带宽
如果信号能量谱E(f)或功率谱P(f)在零频率处最大,则将E(f)或P(f)下降到3dB(最大功率的一半)的频率定义为信号带宽:
E(B)=E(0)/2 或 P(B)=P(0)/2
③第一零点带宽
对于矩形脉冲,频谱存在周期性零点,而且功率大部分集中在第一个零点内,通常采用第一零点带宽(主瓣带宽)来定义信号带宽。
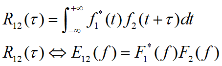
(5)确定信号的相关函数
①自相关函数的定义和性质

②互相关函数的定义和性质

最后
以上就是笑点低水壶最近收集整理的关于通信原理(张祖凡)知识点归纳【持续更新】第一章 绪论第二章 信号与噪声分析的全部内容,更多相关通信原理(张祖凡)知识点归纳【持续更新】第一章内容请搜索靠谱客的其他文章。
发表评论 取消回复