LC低通滤波器的截止频率与LC谐振频率的关系
最近突然想起了一个问题, LC低通滤波器,为什么它的截止频率和LC的谐振频率公式一样呢?
插牢下百度,发现如下一篇知乎文章(https://www.zhihu.com/question/29860351),仔细思考后发现这篇文章纯属扯淡,下面我将自己的想法记录一下。

电路如下图所示:

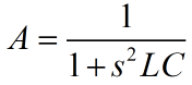
使用信号与系统的知识计算了传递函数如下

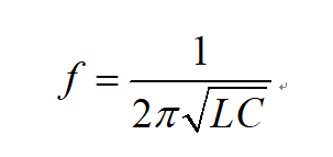
然后想利用传统的方式求截止频率,因为想当然地认为LC是个二阶低通滤波器,所以想用下面公式求解截止频率:

但是怎么也凑不出下面的截止频率公式:

就比较奇怪,还一度怀疑自己计算错误(汗颜,信号与系统知识学过太久了,快忘了具体的计算方法,幸亏有大学霸YY提醒,哈哈)
确定自己上面的计算没出错以后,就开始找原因。
下面直接使用TINA软件仿真了上面的电路,进行交流分析,得到波特图。

哈哈,终于发现问题了,原来其波形并不是正常的低通滤波,而且在谐振频率点发生了谐振,这样如何还拿0.707倍计算当然不行了。这个二阶低通滤波器其实在频率低于谐振频率的时间都是增益大于1的,后面开始以每十倍频程下降40dB的速度降低。在谐振频率出是两个极点,引起相位相位减小180°,这里的仿真图形其实有点问题,相位应该是-180°,但是其实与180°也是一样了,哈哈。
这里其实LC低通滤波器的截止频率没有以0.707倍定义,而是直接使用了谐振频率点,因为是基本类似的,仅有一点小误差。
最后
以上就是传统小蝴蝶最近收集整理的关于LC低通滤波器的截止频率与LC谐振频率的关系的全部内容,更多相关LC低通滤波器内容请搜索靠谱客的其他文章。
本图文内容来源于网友提供,作为学习参考使用,或来自网络收集整理,版权属于原作者所有。
发表评论 取消回复