bmp180的简介:
• 压力范围:300~1100hPa(海拔 9000 米~-500 米)
• 电源电压:1.8V~3.6V(VDDA), 1.62V~3.6V(VDDD)
• 尺寸:3.6mmx3.8x0.93mm
• 低功耗:5μA,在标准模式
• 高精度:低功耗模式下,分辨率为 0.06hPa(0.5 米)
• 高线性模式下,分辨率为 0.03hPa(0.25 米)
• 含温度输出
• I2C 接口
• 温度补偿
• MSL 1 反应时间:7.5ms
• 待机电流:0.1μA
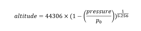
可以同时获得所处环境的温度和气压,甚至还可以通过气压、温度间接求出海拔,此换算过程较为复杂,可自行百度,在此给出数值较为粗糙的公式:(p0指的是标准海平面大气压,并不是此时此地的海拔为0m的大气压,p0=101.325kpa)
凭个人观点,相比于温湿度传感器dht11,实现的功能可能会更多一些,但不知道,两者哪个精度会高一点。dht11是数字信号输入,bmp系列是模拟信号输入,但是我发现利用公式测算的海拔高度altitude时钟为负值,不知道这是什么情况,暂时且用fabs函数套上,转换为绝对值。
年前tb了一个bmp180的传感器,想用arduino获得实现的可能。当然bmp085也可以,我才用的库就是bmp085的库,当时网络上找不到bmp180的库,甚至动用了某工具。还有,最近在国内似乎连不上arduino的库管理器,于是我从GitHub那获得了库文件,链接在此:https://github.com/drophair/BMP180-BMP085(这个库比较早,而且bmp085已经停产了,其中计算海拔的方法粗在错误)https://github.com/drophair/bmp180(这个是专门用于bmp180的,不妨两个都试一下,而且不用自己去推算海拔,有自己封装的函数,直接就可以用了)
注意,利用以上公式求的是绝对海拔,误差较大;相比之下,可以计算相对海拔,其计算原理下文详细介绍。
接线方式:
arduino bmp180
----------------------
VIN VCC
GND GND
SCL A5
SDA A4
代码:
1 #include <SFE_BMP180.h>
2 #include <Wire.h>
3 SFE_BMP180 pressure;
4 double baseline; // baseline pressure
5
6 void setup()
7 {
8 Serial.begin(9600);
9 Serial.print("重启中");
10 Serial.print(",正在获取最新校准值");
11 if (pressure.begin())
12 {
13 int i;
14 for(i=0;i<3;i++){
15 Serial.print(".");
16 delay(1000);}
17 Serial.println();
18 Serial.println("BMP180传感器初始化成功");
19 }
20 else
21 {
22 Serial.println("BMP180传感器初始化失败 (请检查连接是否正确)nn");
23 while(1);
24 }
25 baseline = getPressure();
26 Serial.print("海平面气压: ");
27 Serial.print(baseline);
28 Serial.println(" 百帕");
29 }
30
31 void loop()
32 {
33 double a,P,T,status;
34 P = getPressure();
35 a = pressure.altitude(P,baseline);
36 Serial.print("实时气压: ");
37 Serial.print(P,2);
38 Serial.print(" 百帕, ");
39 Serial.print("相对高度: ");
40 if (a >= 0.0) Serial.print(" "); // add a space for positive numbers
41 Serial.print(a,2);
42 Serial.print(" 米, ");
43 status = pressure.startTemperature();
44 if(status!=0)
45 {
46 delay(status);
47 status = pressure.getTemperature(T);
48
49 Serial.print("温度: ");
50 Serial.print(T,2);
51 Serial.println(" 摄氏度");
52 }
53 delay(1000);
54 }
55
56 double getPressure()
57 {
58 char status;
59 double T,P,p0,a;
60 status = pressure.startTemperature();
61 if (status != 0)
62 {
63 delay(status);
64 status = pressure.getTemperature(T);
65 if (status != 0)
66 {
67 status = pressure.startPressure(3);
68 if (status != 0)
69 {
70 for a number of pressure measurements.)
71 status = pressure.getPressure(P,T);
72 if (status != 0)
73 {
74 return(P);
75 }
76 else Serial.println("error retrieving pressure measurementn");
77 }
78 else Serial.println("error starting pressure measurementn");
79 }
80 else Serial.println("error retrieving temperature measurementn");
81 }
82 else Serial.println("error starting temperature measurementn");
83 }
工作原理:
1、首先传感器会进行一次重启,之后才会正常工作;
2、内部先进行10次大气压的测量,然后计算平均值,作为基准压强(baseline);
3、先测一次温度,然后再测大气压,若大气压的值较为稳定则利用内部的封装函数,直接求得(至于封装函数是怎么样的就不去深究了),若大气压不稳定就会一直等待稳定的时候,因此不管怎么设置delay,时间间隔都会有偏差;
4、输出打印。
总结:
代码在example中就有只是将多个示例结合为一个整体代码。
目前只在arduino上进行搭建,未来还会继续增加温湿度传感器dht11;由于对软串口、串口通讯等方面的不了解,无法在esp8266上实现一旦时机成熟最终会整体移植到esp8266、树莓派上。
最后
以上就是敏感飞机最近收集整理的关于基于arduino的气象站的全部内容,更多相关基于arduino内容请搜索靠谱客的其他文章。

发表评论 取消回复