目录
前言
一、第六节内容:
Chapter 6:双边带抑制载波(Double-Sideband Suppressed Carrier,DSB-SC)
6.0.3 DSB-SC的光谱
6.1 DSB-SC的实施
6.1.1 调制
6.1.2 解调
6.1.2.1同步解调器
6.1.2.2 包络检测器(Envelope detector)
前言
本笔记是基于北京都柏林学院2022年EEEN3005J Communication Theory课程课件总结出的笔记。任课教师为Dr Deepu John。
阳老板建议: 本节内容较多且学习难度较高,请细致观看。
一、第六节内容:
Chapter 6:双边带抑制载波(Double-Sideband Suppressed Carrier,DSB-SC)
正如我们所看到的,一个完整的AM信号,由

由一个载波分量和两个边带组成。
大部分功率来自未调制的载波组件,该组件不携带任何信息。
双边带抑制载波(DSB-SC)是一种振幅调制形式,其中两个边带被传输,但没有载波分量。
与全AM相比,这可以大大节省功率,但使用相同的带宽并传输相同的信息。因此,与全AM相比,它是一种更节能的调制方案。
从6.0.1中减去载波部分,我们得到了DSB-SC调制信号:

常数ka现在是多余的(可以合并成Ac,载波的振幅被调制为 c (t)),所以我们通常写作

注意: 只需去掉两个delta函数,注意我们已经将kaAc合并为一个常数Ac。
简化的DSB-SC调制器如图6.0.1所示

DSB-SC 中 AM只是载波和信息信号的乘法。
与full AM不同,包络现在可能变为负,导致调制信号出现相位反转,如图6.0.2所示。

6.0.3 DSB-SC的光谱
从方程5.1.1中去掉载波项,我们得到:

如图6.0.3所示。我们再次绘制了频谱,假设g(t)在DC附近没有频率分量。(尽管这已经不再需要了。)

6.1 DSB-SC的实施
6.1.1 调制
DSB-SC调制器仅由四象限乘法器组成。
图6.1.1显示了一种实现这种乘法器的常用方法,称为“环形调制器”。

为了证明该电路确实起到四象限乘法器的作用,为了便于分析,我们假设二极管D1、D2、D3和D4是理想的。
忽略载波输入c (t)的存在,并考虑两种情况:
1.D1和D2打开,D3和D4关闭:
在这种情况下,输入从左侧耦合进来,从右侧直接耦合回来,即输出为kg(t),其中k为常数。
2.D3和D4打开,D1和D2关闭:
在这种情况下,输入在左侧耦合,反向版本在右侧耦合,即输出为−kg(t),其中k为常数
现在考虑c (t)本身。
首先请注意,向电感器的中心点施加一个信号,例如c (t),会导致上半部分和下半部分之间的信号消除,从而导致信号不会通过电感器传播,即c (t) 不会出现在输入端或输出端。然而,它确实通过4个二极管的网络呈现。我们现在注意到:
1.当c (t) > 0时,二极管D1和D2接通,二极管D3和D4断开。
2.当c (t) > 0时,二极管D3和D4接通,二极管D1和D2断开。
但这正是我们之前考虑过的两种情况,因此:
1.当c (t) > 0时,我们的输出为kg(t)
2.当c (t) < 0时,我们的输出为-kg(t)
或者更简洁地说,如果我们定义sign(或signum)函数:

我们有输出表达式:

其中x(t)是
![]()
这是频率为fc的方波,因此具有傅里叶级数:
![]()
所以
![]()
带通滤波器用于选择 fc 周围的边带,根据需要产生A1*g (t)*cos (2π*fc*t)。
6.1.2 解调
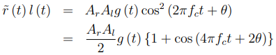
如前所述,假设信道引起信号的振幅和相位变化。让接收到的信号:
![]()
式中,Ar是通道输出处信号的“新”振幅,θ是通道引起的相位变化。
有两种解调AM信号的主要方法,即检索信息信号g(t):
•同步解调器(Synchronous Demodulator)
•包络检测器
6.1.2.1同步解调器
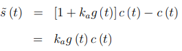
用于全AM的同步解调器也适用于DSB-SC。让接收到的信号
![]()
乘以本地振荡器
产品是

LPF输出为![]()
与全AM相比,我们发现这里没有额外的DC分量,这意味着g(t)有一些接近DC的分量是可以的。
然而,一切并不好!
在全AM中,我们能够通过使用高Q BPF信号从接收信号中提取载波来生成本地振荡器——这已经不可能了!那么我们如何产生一个具有正确频率和相位的本地振荡器呢?,不完全正确会产生什么影响?这是对接收机同步的研究——这是一项非常困难(且未得到充分重视)的技能。
相位误差:
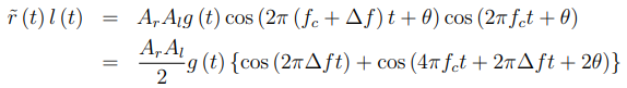
考虑本地振荡器中的相位误差,即l(t) = Al* cos (2π*fc*t + θ + φ).。产品是

LPF 输出
,理想输出乘以cosφ。
只有当相位误差φ恒定且不接近时,这才是可接受的,而不是靠近±π/2。
频率误差:
考虑LO中的频率误差:
那么,产物为:

并且LPF的输出为
i.e. 理想输出乘以时变(振荡)项![]()
这是个大问题!我们不能接受这种情况。
6.1.2.2 包络检测器(Envelope detector)
包络检测器还可用于解调DSB-SC信号。
为了使其工作,我们需要信号的包络始终为正;为了安排这一点,我们可以在接收器内添加一个本地振荡器信号——这就像一个人工载波信号,允许包络检测器正常解调。
包络检测器输入为(接收信号加上本地振荡器)

这是全AM信号。
对于正包络,我们需要![]()
这为我们提供了接收机LO信号振幅的条件,以便通过包络检测器正确解调DSB-SC信号。
最后
以上就是沉静胡萝卜最近收集整理的关于通信原理复习笔记(EEEN3005J Communication Theory)(4)前言一、第六节内容:的全部内容,更多相关通信原理复习笔记(EEEN3005J内容请搜索靠谱客的其他文章。
发表评论 取消回复