源程序
https://download.csdn.net/download/a_zxswer/20019328.










程序:
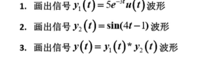
%前三张图
clc;clear;close;
figure(1); %第一幅图
t=-100:0.0001:100; %设置时间信号
y1 = 5*exp(-3*t).*u_t(t); %调用阶跃函数u_t(t)
plot(t,y1); %绘制图像
ylabel('y1(t)'); %坐标轴信息
xlabel('t(s)');
axis([-10,10,-10,10]); %坐标范围
grid on; %绘制网格线
figure(2); %第二幅图
y2 = sin(4*t-1); %y2(t)表达式
plot(t,y2); %绘制图像
ylabel('y2(t)'); %坐标轴信息
xlabel('t(s)');
axis([-10,10,-10,10]); %坐标范围
grid on; %绘制网格线
figure(3); %第二幅图
y3 = y1.*y2;
plot(t,y3); %绘制图像
ylabel('y3(t)'); %坐标轴信息
xlabel('t(s)');
axis([-10,10,-10,10]); %坐标范围
grid on; %绘制网格线
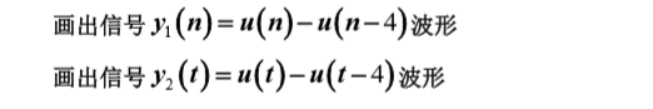
%后四张图
figure(4);
y1 = u_t(t)-u_t(t-4); %确定因变量关系
plot(t,y1);
ylabel('y1(t)'); %坐标轴信息
xlabel('t(s)');
axis([-10,10,-10,10]); %坐标范围
grid on; %绘制网格线
figure(5);
y2 = cos(t).*(y1); %确定信号波形
plot(t,y2);
ylabel('y2(t)'); %坐标轴信息
xlabel('t(s)');
axis([-10,10,-10,10]); %坐标范围
grid on; %绘制网格线
figure(6);
n=0:10; %离散范围
x=ones(1,length(n)); %置1
stem(n,x); %按照茎状形式绘制 ,stem(x,y,'filled'):实心的
xlabel('n');ylabel('x(n)');
axis([-10,10,0,2]); %坐标范围
grid on; %绘制网格线
figure(7);
y2 = u_t(t)-u_t(t-4); %确定因变量关系
plot(t,y2);
ylabel('y2(t)'); %坐标轴信息
xlabel('t(s)');
axis([-10,10,-10,10]); %坐标范围
grid on; %绘制网格线
%阶跃函数
function y=u_t(t)
%阶跃函数
y=1.*(t>0)+0.5.*(t==0)+0.*(t<0);
end
最后
以上就是激情棉花糖最近收集整理的关于MATLAB离散函数和连续函数的绘制源程序的全部内容,更多相关MATLAB离散函数和连续函数内容请搜索靠谱客的其他文章。
本图文内容来源于网友提供,作为学习参考使用,或来自网络收集整理,版权属于原作者所有。
发表评论 取消回复