文章来源:https://mp.weixin.qq.com/s/UCy9mRRok5Hc9qHq3qde5g
今天这篇文章想把近段时间关于波特图方面学习的内容整理一下。波特图将会是梳理闭环控制这个系列的开始。目前的计划是,以无源器件为基础,然后结合运放,再过渡到开关电源的环路控制方面。如果对这方面感兴趣的朋友,可以持续一起学习起来,目标就是掌握开关电源的闭环控制。
1. 什么是波特图?
波特图最常见的应用是在线性非时变的系统中,用于对传递函数的增益和相位进行分析,从而判断出系统随频率的响应是否稳定。因此,波特图又称为幅频响应和相频响应曲线图。
下面就是在电路分析中最常见的波特图。

图1. 波特图示例
2. 理想器件和真实器件有什么区别?
理想的电阻如下图所示

图2. 理想的电阻
理想的电阻,无论输入什么样的信号,在增益和相位上,不会有变化(忽略电阻产生的压降)。毕竟只要有电流流过电阻,输出端相比输入端的电压肯定会有略微降低。因此,使用波特图研究理想电阻对输入信号的响应,没什么意义。
而在真实的世界中,电阻由于生产工艺制造,PCB板上走线,SMT焊接等一系列的操作,理想的电阻,并不是我们想象中的那样。只要把电阻用在电路中,它就会自带寄生电感和寄生电容,实际的等效模型如下所示:

图3. 实际的电阻模型
我们知道,电容和电感的阻抗会随着频率的改变而改变。那么实际的电阻也会信号频率的改变产生响应。
实际的电容模型如下:

图4. 实际的电容模型
实际的电感模型如下:

图5. 实际的电感模型
理想电阻对不同输入信号的频率没有响应,无论在什么条件下,它一直表现出来同样的阻抗,在全频率范围内,阻抗一直会保持同样的阻值。但是结合电容和电感的等效模型可知,实际的电阻并不会一直保持同样的阻抗。
综上可知,真实的物理世界中,无论是独立的电阻,独立的电容,独立的电感,都会对输入信号的频率有响应。不同频率的信号通过这三者组成的电路,所得到输出信号幅度和相位会有区别。
从上面的分析可以看出,现实世界中的电子元器件,电阻,电容,电感都会对输入信号频率的改变产生响应,而半导体器件由于CMOS工艺的原因,会在半导体管极间产生寄生电容,加工制造的PCB走线,会有寄生电感的存在。
所以,加工制造完毕的、实际的PCBA单板,输出信号都是会受到输入信号因频率改变而带来的的影响。既然是这样,那么波特图就能很好的帮助我们分析电路对信号频率改变的响应了。
3. 滤波器和波特图
滤波器的作用是对不同频率输入信号,实现不同的增益和相移,以形成输出。
对设计滤波器的人来说,比较关注的是在特定的频率内,到底有怎样的增益和相移。根据前面分析的内容,波特图刚好是研究增益和相移。所以要想设计一个满足性能的滤波器,必须要学会波特图。
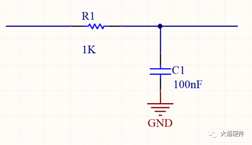
下面以一个低通滤波器为例,讲述如何分析和使用波特图。

图6. RC低通滤波电路
输入信号为VI,输出信号为Vo,根据电阻分压的原理,可以计算出RC低通滤波的传递函数为:

图7. RC电路传递函数
从传递函数可以看出,传递函数受到输入信号频率ω的影响。要知道Vo信号经过RC后的变化,就需要了解H(s)的特性,为了便于分析,令

图8. RC时间常数
其中,RC为电路的时间常数。
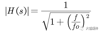
根据复数性质,计算出H(s)的幅值和相位大小分别为:


图9. RC电路幅值和相位
关于传递函数的幅值和相位计算,目前很多书上都是直接给出答案,这里推导一下结论的来源。为了方便计算,可以令传递函数为下面的这样的形式:

图10. 传递函数复数形式
求H(S)的幅值和相位,需要对其分子分母有理化,可以计算得到:

图11. 传递函数分子分母有理化
幅值和相位根据下面的坐标图,就能计算出上面幅度|H(s)|和相位θ的大小。

图12. 传递函数在复平面中
4. RC电路对频率的响应
根据|H(s)|的表达式,1和f/fo之间的关系大小,会使|H(s)|有不一样的结果。因此,1和f/fo之间的关系,将|H(s)|分为三个阶段。
(1)当 f/fo <<1 时
f远小于fo,可认为输入信号为直流信号,此时H(S)的增益和相位表达式中将f/fo这一项忽略。则增益为1,输出信号幅值等于输入信号幅值。此时相位θ也非常小,几乎为0。也就是说,在f非常小时,输出跟随输入变化,幅度不变化,相位也不变化。
增益和相位的曲线如下图所示:

图13. 增益相位曲线
(2)当f/fo =1时
输入信号频率f刚好和RC乘积相等,此幅值和相位的大小为:

图14. 特征频率处的增益和相位
增益和相位的曲线如下图所示:

图15. 增益和相位曲线
根据上面的内容,我们只能分析出f在很小时和f=fo时的幅值和相位,画出来的增益和相位曲线如图13和图15所示,在f趋近于fo的过程中,幅值和相位是怎么样的变化的还不知道。先不着急得到变化趋势,接着把第三阶段分析完。
(3)当f/fo >>1 时
增益和相位的大小为:

图16. 无穷大频率处的增益和相位
增益和相位的曲线如下图所示:

图17. 增益和相位曲线
根据输入信号的变化和传递函数的表达式,我们推出了全频率范围内输出信号的变化。可以得到的结论是:在RC滤波电路中,输入信号的频率越高,输出信号频率越少,而且相位滞后越大。
当f非常小时,输出信号在增益和相位和输入信号保持一致。当f非常大时,此时输出端的信号几乎为0,相位滞后90°,且此时研究相位也没有意义。
5. 波特图
波特图可以研究系统的频率响应,且能描述增益和相位,而增益和电压放大倍数刚好能对应起来,所以RC电路的响应,也可以用波特图进行描述。
根据波特图的定义,XY轴坐标需要改为对数坐标,即横轴用lgf来表示,纵轴用20lg(A)来描述。将RC电路输入输出增益和相位响应曲线,幅值和频率换成对数坐标系后:
增益的表达式为:

图18. 对数增益表达式
增益和相位的对数幅频特性为:

图19. 增益和相位的波特图
由H(s)的对数公式可知,只有在f>>fo 时,斜率才是-20dB/10倍的频程,在0~-3db之间,这个关系式并不成立。
在波特上,按照0.1fo的频率作为增益和相位更改的起点,代入关系式中,可以计算出增益误差为-0.04dB,相位误差为-5.71°。
可能有人会有疑问,为什增益和相位的变化要从0.1fo开始,是0.01fo不行吗?结论是,研究0.01fo没什么意义,代入到公式可以计算出,此时增益基本为0dB,相移基本为0°,所以在低频阶段,曲线一直和坐标轴保持一致。
6. TINA仿真测试
使用TI的TINA软件对RC电路进行仿真,看输出信号随着输入信号变化趋势。其中比较特殊的点为产生-45°相移频率,即输入信号频率和fo的频率相等,可以计算出

图20. 特征频率
仿真波形如下:

图21. 1591Hz仿真波形
分析波特图,输入信号频率为1.59KHz时,输出信号相比输入信号产生了-45°的相移,此时的增益为-3dB。也就是输出信号是输入信号的0.707倍,信号被衰减了。
如果输入信号频率为0.1fo,仿真波形如下:

图22. 159.1Hz仿真波形
分析波特图,输入信号频率为159.1Hz时,增益基本为-0.04dB,相移为-5.71°。此时输出信号和输入信号基本可认为是一样的,误差比较小。
如果输入信号频率为10fo,仿真波形如下:

图23. 15.91KHz仿真波形
分析波特图,输入信号频率为15.91KHz时,增益基本为-20.04dB,相移为-84.29°。此时输出信号为输入信号的0.0995倍,衰减的非常厉害。
7.总结
研究波特图增益和相位曲线并不是最终目的,它仅仅是我们分析一个电路对输入信号频率响应的手段。
通过观察波特图的增益和相位曲线,可以很好的分析出输出信号在不同频率点上增益是多大,那么就知道到底能提取出来多大的输入信号。分析出输出信号在不同频率点的相移,可以知道系统是否有产生自激振荡的风险。
对于滤波器来说,如果知道该滤波器的波特图,那么无论输入多大频率的信号,都可以计算出输出信号有多大,相位是怎样变化,从而很轻松的达到了我们想要的结果。
以上文章摘抄自《大话硬件》,如有侵权,请及时联系小编,小编会及时删除的。《参考原文:详细推导波特图增益和相位曲线》
最后
以上就是知性抽屉最近收集整理的关于详细推导波特图增益和相位曲线的全部内容,更多相关详细推导波特图增益和相位曲线内容请搜索靠谱客的其他文章。
发表评论 取消回复