我是靠谱客的博主 坦率啤酒,这篇文章主要介绍matlab求系统根轨迹代码_MATLAB 求解特征方程的根轨迹图稳定性分析,现在分享给大家,希望可以做个参考。

原文:

MATLAB 求解特征方程的根轨迹图稳定性分析​tecdat.cn
a9b13ffa807380cca3d90a7827b28b65.png

根轨迹分析

在下文中,我们提供了用于根轨迹分析的强大MATLAB命令的简要描述。读者可能想知道为什么当强大的MATLAB命令可用时,教师强调学习手工计算。对于给定的一组开环极点和零点,MATLAB立即绘制根轨迹。在极点和零点中进行的任何更改都会立即产生新的根位点,依此类推。

MATLAB允许特征方程的根轨迹

1 + G(s)H(s)= 0

rlocus(GH)命令绘制 。可以使用[K,p] = rlocfind(GH)命令以交互方式选择根轨迹上的点(将十字准线放置在适当的位置)。然后MATLAB 在该点产生增益K以及具有该增益的所有极点p。根轨迹可以在使用sgrid(zeta,wn)命令生成的网格上绘制,该命令允许恒定阻尼比zeta和恒定固有频率 wn曲线。命令rlocus(GH,K)允许我们指定用于绘制根轨迹的增益K的范围。还研究命令[p,K] = rlocus(GH) [p] = rlocus(GH,K) 使用MATLAB在线帮助。

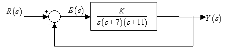
考虑图M6.1的框图中所示的系统。

7902760cfaf577661b70aea14b0e9dd1.png

图M6.1

系统的特征方程是

1 + G(s)= 0

5cd44bf075fb88d00f31355f78d01d90.png

以下MATLAB脚本绘制了根轨迹

f64e6fd22d6a99fa231fd286960d2a65.png

s = tf('s');G = 1/(s*(s+7)*(s+11));rlocus(G);axis equal;

单击根轨迹与虚轴的交点将得到图M6.2中所示的数据。我们发现闭环系统对于K <1360 是稳定的; 并且K > 1360 不稳定。

62a6e667cc649a291043bd39e6cf591c.png

图M6.2

>> K = 860; >> step(feedback(K*G,1),5) >> hold; % Current plot held >> K = 1460; >> step(feedback(K*G,1),5)

27024d12a94beb51c91bae92ba749320.png

图M6.3

例M6.2

考虑图M6.4所示的系统。

fddffc46a41c7c37be11a7d7fbfb7bbf.png

图M6.4

植物转移函数G(s)如下给出

78a6a7c65767d064881e8181d04f3211.png

clear all; close all; s = tf('s'); G = (s+1)/(s*(0.1*s-1)); rlocus(G); axis equal; sgrid; title('Root locus for (s+1)/s(0.1s-1)'); [K,p]=rlocfind(G)

ecd9fea59bee35b7629565ccd6079ec7.png

图M6.5

selected_point = -2.2204 + 3.0099i K = 1.4494 p = -2.2468 + 3.0734i -2.2468 - 3.0734i

例M6.3

用于具有开环传递功能的单位反馈系统

6595b0b953e08d3f623dab39f7ab9c07.png

s = tf('s'); G =(s ^ 2-4 * s + 20)/((s + 2)*(s + 4)); rlocus(G); zeta = 0.45; wn = 0;

使用 右键单击 - >属性 - >限制正确地重新定义根轨迹的轴

c50af9e5a7176896f42bc37fb49924b8.png

图M6.6

点击根轨迹与zeta = 0.45线的交点给出系统增益K = 0.415,其对应于闭环极点,

e7baad8139a0e0a1804c63c3e8f5bb3e.png

​点击根轨迹与实轴的交点,给出分离点和该点处的增益。

最后

以上就是坦率啤酒最近收集整理的关于matlab求系统根轨迹代码_MATLAB 求解特征方程的根轨迹图稳定性分析的全部内容,更多相关matlab求系统根轨迹代码_MATLAB内容请搜索靠谱客的其他文章。

本图文内容来源于网友提供,作为学习参考使用,或来自网络收集整理,版权属于原作者所有。
点赞(182)

评论列表共有 0 条评论

立即
投稿
返回
顶部