前言
- 本文旨在从硬件电路特性、动态系统建模分析、系统传递函数多方面结合的角度来详细总结一阶低通滤波器。
- 目的是从本质上多角度的去解析RC滤波器的原理,帮助自己通过RC低通走入模电频率部分这一“玄学”内容。
- 这将是一个专题,后续将会继续更新各种滤波器的整理、分析与总结。
- 之前一直找不到硬件题目来练习,老羡慕人家做软件的,最近发现牛客居然有硬件相关题目!
- 这是链接,牛客网刷题(点击可以跳转),而且它登陆后会自动保存刷题记录,重新登录时不会又原地重练,我觉得这一点还挺好的。
- 个人刷题练习系列专栏:个人CSDN牛客刷题专栏
- 而且牛客的硬件板块还挺多的,包括FPGA等等,而CSDN相对硬件板块太少了,如下是牛客硬件专项题目位置:

文章目录
- 前言
- 1.概述
- 2.无源RC低通电路
- 3.电气角度分析电路原理
- 4.求解传递函数
- 4.1微分方程--拉氏变换方法
- 4.2引用复数阻抗
- 5.传递函数的单位阶跃响应分析
- 6.稳态输出要点
- 7.低通滤波器
- 结束语
1.概述
-
滤波器可以对信号中特定频率的频点或该频点以外的频率进行有效滤除,得到一个特定频率的电源信号,或消除一个特定频率后的信号。
-
根据傅立叶变换可知,所有的波形都可以分解为正弦波,可以由不同频率的正弦波叠加而成,一种频率的正弦波在频域上对应一个点,就像时域上的时间点一样。例如下图波形,从时域上看是类似方波,二如果从频域上看就是一个个线段。

- 低通滤波器即就是通过低频率信号,滤除高频率信号。
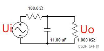
2.无源RC低通电路
- 如下以一个低通RC电路的电路图,由 一个电阻器与一个电容器组成:

3.电气角度分析电路原理
-
我们知道R是一个耗能元件、而C是一个储能元件。
-
假如Ui是一个合适频率的方波,基于电容的冲放电原理,那么整个过程是这样的:

-
我们知道电容充电过程是一个积分的过程,因此,上述电路又可以看作一个积分电路。
-
积分电路的作用是:消减变化量,突出不变量。
-
关于积分:
RC电路的积分条件:RC≥Tk,Tk是脉冲周期,
积分电路可将矩形脉冲波转换为锯齿波或三角波,还可将锯齿波转换为抛物波。
这里要提的是电路的时间常数R*C,构成积分电路的条件是电路的时间常数必须要大于或等于10倍于输入波形的宽度。 -
上面说了,C在整个充放电过程中起储能作用,而R作为一个耗能元件,当有能量流过时,就会消耗一部分能力,在R表现为以热能的形式消耗掉(焦耳定律)。
-
电压差△u越大,则输入源损耗的能量就会越多。当输人交流信号的频率越高时,电容器的充放电频率越快,相当丁电容器将输人源短路(旁路到地)。

-
输入交流信号的频率越高,则相应的周期越小,在一个周期内的充电量与放电量也会越小(也相当于满足上述积分条件)。当输入信号频率很高时,交流成分仅对电容器充一点点的电,然后再次对输入电压源放一点点的电(相当于反向充电),以此循环。
-
换言之,频率很高的交流成分对应的输出电压Uo,是很小的,即电阻R,两端的压差也会更大,相应的能量损耗也就更大,而电容器两端的电压其实就是输出(负载两端)电压u,也就相当于把高频交流成分滤掉了。

-
对于同一个电路,充电时间常数与放电时间常数是完全一样的。频率较低时,一个周期内电容器被充电更高Uo.这个充电的过程也伴随着能量传递的过程,也就是能量被传递到了负载。因为负载与滤波电容器是并联的,电容器充电量越高,则负载获得的能量也就越高。换言之,低涌滤波器对低频信号的能量损耗越小。
-
反之,输人信号的频率越高时,一个周期内电容器的充电时间更短,电容器两端的电压值(u,)就会越任因业从输入传弟到负载的能量也越低。换言之,低通滤波器对高频信号的能量损耗越大。
-
当我们加大电阻R或电容C时,我们认为RC低通滤波器对直流脉动电压的滤波能力更强,就相于增加了RC低通滤波器(积分电路量)的充放电时间常数。在相同的输入交流信号频率条件下,降低了每个周期的电容器充电量与放电量。换言之,降低了对应频率交流成分的输出电压,也就相当于将更多的交流成分滤除掉了,这与低通滤波器的特性也是完全一致的。
附相关资料:
推荐个人博客文章相关链接: 【元器件】5.电容
推荐书籍《电容应用分析精粹-从充放电到高速PCB设计》,部分内容来源于此书。
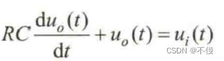
4.求解传递函数
4.1微分方程–拉氏变换方法
第一种方法:先列写网络的微分方程,然后在零初始条件下进行拉氏变换,从而得到输出变量与输入变量之间的传递函数。


- 在零初始条件下,对上述方程中各项求拉氏变换,并令

- 可得s的代数方程为

由传递函数定义,网络传递函数为
G(s)=Uo(s)/Ui(s)=1/(RCs+1)
4.2引用复数阻抗
第二种方法:引用复数阻抗直接列写网络的代数方程,然后求其传递函数。用复数阻抗表示电阻时仍为R,电容C的复数阻抗为 1/(Cs),电感L的复数阻抗为Ls。
G(s)=Uo(s)/Ui(s)=(1/Cs)/(R+1/Cs)=1/(RCs+1)
5.传递函数的单位阶跃响应分析


- a/(S+a)即为一个低通滤波器。
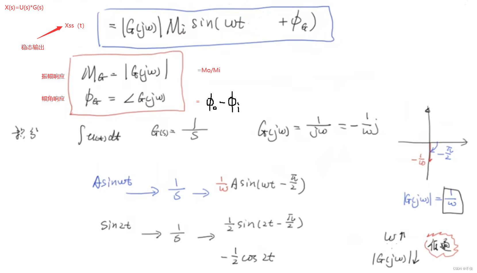
6.稳态输出要点


7.低通滤波器
- 低通滤波器传函详解:

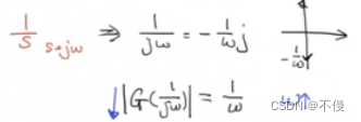
- 振幅响应:

- 幅角响应:

- 如上随频率增加,振幅响应不断减小。故是一个低通滤波器。
举例,空调房温度变化就是一个一阶系统,对高频输入(连续迅速开关空调)不敏感;储水箱对输入开关不敏感;RC低通电路对高频输入不敏感等。这些都是带有低通滤波器性质,其共同点是带有一个容器,如房间、水箱、电容,这些容器具有积分特性,而积分的拉氏变换就是1/s。

因此,其均具有低通特性。宏观上看,容器起到缓冲作用,缓存延迟抵消了高速变换输入带来的影响,即对高频输入有一定的衰减。
-
需要注意:若把a与w位置互换,则成为了高通滤波器。同时,G(s)=S/(S+a)。
-
若把上述,振幅响应图的纵坐标换成20lg|G(jw)|,那么1就变成了0,0.707就变成了-3dB,即图变成了Bode图。
结束语
- 以上就是一阶RC低通滤波器详解的内容。
- 推荐牛客网刷题(点击可以跳转)的硬件刷题板块。

参考资料:
文中建模分析知识主要总结自书籍《自动控制原理 第7版 胡寿松》以及以下链接: 动态系统的建模与分析。
最后
以上就是健康未来最近收集整理的关于【电路中的滤波器】1.一阶RC低通滤波器详解前言1.概述2.无源RC低通电路3.电气角度分析电路原理4.求解传递函数5.传递函数的单位阶跃响应分析6.稳态输出要点7.低通滤波器结束语的全部内容,更多相关【电路中内容请搜索靠谱客的其他文章。
发表评论 取消回复