低通滤波和高通滤波
- 主要类型和公式
- 主要效果图
- 各类型的函数代码
- 最终比较代码
主要类型和公式
1.低通滤波
主要分为理想低通滤波,巴特沃斯低通滤波,高斯低通滤波
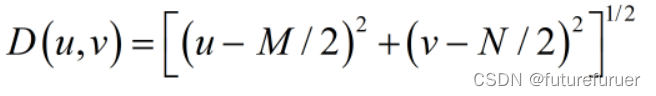
理想低通滤波:

其中:对于大小为M*N的图像,频率点(u,v)与频域中心的距离为D(u,v),其表达式为:

下列的D(u,v)都相同
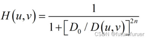
巴特沃斯低通滤波:

高斯低通滤波:

2.高通滤波
理想高通滤波:

巴特沃斯高通滤波:

高斯高通滤波:

主要效果图
带傅里叶谱:

不带傅里叶谱:

各类型的函数代码
理想低通滤波:
function out = imidealflpf(I, freq)
% imidealflpf函数 构造理想的频域低通滤波器
% 参数:I 输入的灰度图像
% 参数:freq 低通滤波器的截止频率
% 返回值:out 指定的理想低通滤波器
[M,N] = size(I);
out = ones(M,N);
for i=1:M
for j=1:N
if (sqrt(((i-M/2)^2+(j-N/2)^2))>freq)
out(i,j)=0;
end
end
end
理想高通滤波:
function out = imidealflpf1(I, freq)
% imidealflpf函数 构造理想的频域低通滤波器
% 参数:I 输入的灰度图像
% 参数:freq 低通滤波器的截止频率
% 返回值:out 指定的理想低通滤波器
[M,N] = size(I);
out = ones(M,N);
for i=1:M
for j=1:N
if (sqrt(((i-M/2)^2+(j-N/2)^2))<freq)
out(i,j)=0;
end
end
end
巴特沃尔低通滤波:
function out = imgaussflpf4(I,sigma,x)
% imgaussflpf函数 构造频域高斯低通滤波器
% 参数:I 输入的灰度图像
% 参数:sigma 限制图像D0参数
% 参数:x 巴特沃尔的阶数
[M,N] = size(I);
out = ones(M,N);
for i=1:M
for j=1:N
distance=sqrt((i-M/2)^2+(j-N/2)^2);
out(i,j) = 1/(1+(distance/sigma).^(2.*x));
end
end
巴特沃尔高通滤波:
function out = imgaussflpf5(I, sigma,n)
% imgaussflpf函数 构造频域高斯低通滤波器
% 参数:I 输入的灰度图像
% 参数:sigma 高斯函数的Sigma参数
[M,N] = size(I);
out = ones(M,N);
for i=1:M
for j=1:N
out(i,j) = 1/(1+((sigma/((i-M/2).^2+(j-N/2).^2))).^(2.*n));
end
end
高斯低通滤波:
function out = imgaussflpf2(I, sigma)
% imgaussflpf函数 构造频域高斯低通滤波器
% 参数:I 输入的灰度图像
% 参数:sigma 高斯函数的Sigma参数
[M,N] = size(I);
out = ones(M,N);
for i=1:M
for j=1:N
out(i,j) = exp(-((i-M/2)^2+(j-N/2)^2)/2/sigma^2);
end
end
高斯高通滤波:
function out = imgaussflpf3(I, sigma)
% imgaussflpf函数 构造频域高斯低通滤波器
% 参数:I 输入的灰度图像
% 参数:sigma 高斯函数的Sigma参数
[M,N] = size(I);
out = ones(M,N);
for i=1:M
for j=1:N
out(i,j) = 1-exp(-((i-M/2)^2+(j-N/2)^2)/2/sigma^2);
end
end
对图像进行对应并输出的函数:
function out = imfreqfilt(I, ff)
% imfreqfilt函数 对灰度图像进行频域滤波
% 参数:I 输入的空域图像
% 参数:ff 应用的与原图像等大的频域滤波
% 返回值:out 反变换回空域后的图像
if (ndims(I)==3) && (size(I,3)==3) % RGB图像
I = rgb2gray(I);
I = double(I);
end
if (size(I) ~= size(ff))
msg1 = sprintf('%s: 滤镜与原图像不等大,检查输入', mfilename);
msg2 = sprintf('%s: 滤波操作已经取消', mfilename);
eid = sprintf('Images:%s:ImageSizeNotEqual',mfilename);
error(eid,'%s %s',msg1,msg2);
end
% 快速傅立叶变换
f = fft2(double(I));
% 移动原点
s = fftshift(f);
% 应用滤镜及反变换
out = s .* ff; %对应元素相乘实现频域滤波
out = ifftshift(out);
out = ifft2(out);
% 求模值
out = abs(out);
% 归一化以便显示
out = out/max(out(:));
最终比较代码
%低通|高通频率域滤波
f=imread('8.jpeg');%原图
f=im2double(f);
f1=rgb2gray(f);
%低通理想滤波
dt_L=imidealflpf(f1,40);%低通 理想40滤波器
dtL=imfreqfilt(f1,dt_L);%带入滤波器输出
dtL1=fft2(dtL);%傅里叶变换
sdtL=fftshift(log(1+abs(dtL1)));% 绘制傅里叶变换对数谱并将零点移到中心
%高通理想滤波
gt_L=imidealflpf1(f1,60);%高通 理想60滤波器
gtL=imfreqfilt(f1,gt_L);%带入滤波器输出
gtL1=fft2(gtL);%傅里叶变换
sgtL=fftshift(log(1+abs(gtL1)));% 绘制傅里叶变换对数谱并将零点移到中心
%低通巴特沃斯
dt_B=imgaussflpf4(f1,40,2);%巴特沃斯
dtB=imfreqfilt(f1,dt_B);%带入滤波器输出
dtB1=fft2(dtB);%傅里叶变换
sdtB=fftshift(log(1+abs(dtB1)));% 绘制傅里叶变换对数谱并将零点移到中心
%高通巴特沃斯
gt_B=imgaussflpf5(f1,60,2);%巴特沃斯
gtB=imfreqfilt(f1,gt_B);%带入滤波器输出
gtB1=fft2(gtB);%傅里叶变换
sgtB=fftshift(log(1+abs(gtB1)));% 绘制傅里叶变换对数谱并将零点移到中心
%低通高斯滤波
dt_G=imgaussflpf2(f1,40);
dtG=imfreqfilt(f1,dt_G);%带入滤波器输出
dtG1=fft2(dtG);%傅里叶变换
sdtG=fftshift(log(1+abs(dtG1)));% 绘制傅里叶变换对数谱并将零点移到中心
%高通高斯滤波
gt_G=imgaussflpf3(f1,60);
gtG=imfreqfilt(f1,gt_G);%带入滤波器输出
gtG1=fft2(gtG);%傅里叶变换
sgtG=fftshift(log(1+abs(gtG1)));% 绘制傅里叶变换对数谱并将零点移到中心
%输出不带傅里叶谱
% subplot(3,3,1);imshow(f1);title('原图');
% subplot(3,3,4);imshow(dtL);title('低通理想滤波处理后 D0=40');
% subplot(3,3,5);imshow(dtB);title('低通巴特沃斯滤波处理后 D0=40 二阶');
% subplot(3,3,6);imshow(dtG);title('低通高斯滤波处理后 D0=40 ');
% subplot(3,3,7);imshow(gtL);title('高通理想滤波处理后 D0=60');
% subplot(3,3,8);imshow(gtB);title('高通巴特沃斯滤波处理后 D0=60 二阶');
% subplot(3,3,9);imshow(gtG);title('高通高斯滤波处理后 D0=60');
%输出带傅里叶谱
subplot(5,3,1);imshow(f1);title('原图');
subplot(5,3,4);imshow(dtL);title('低通理想滤波处理后 D0=40');
subplot(5,3,5);imshow(dtB);title('低通巴特沃斯滤波处理后 D0=40 二阶');
subplot(5,3,6);imshow(dtG);title('低通高斯滤波处理后 D0=40 ');
subplot(5,3,7);imshow(sdtL,[]);title('低通理想滤波处理后 D0=40 傅里叶谱');
subplot(5,3,8);imshow(sdtB,[]);title('低通巴特沃斯滤波处理后 D0=40 二阶 傅里叶谱');
subplot(5,3,9);imshow(sdtG,[]);title('低通高斯滤波处理后 D0=40 傅里叶谱');
subplot(5,3,10);imshow(gtL);title('高通理想滤波处理后 D0=60');
subplot(5,3,11);imshow(gtB);title('高通巴特沃斯滤波处理后 D0=60 二阶');
subplot(5,3,12);imshow(gtG);title('高通高斯滤波处理后 D0=60');
subplot(5,3,13);imshow(sgtL,[]);title('高通理想滤波处理后 D0=60 傅里叶谱');
subplot(5,3,14);imshow(sgtB,[]);title('高通巴特沃斯滤波处理后 D0=60 二阶 傅里叶谱');
subplot(5,3,15);imshow(sgtG,[]);title('高通高斯滤波处理后 D0=60 傅里叶谱');
最后
以上就是大力白猫最近收集整理的关于matalb 图像处理 低通滤波和高通滤波 (理想,巴特沃斯,高斯 含代码)的全部内容,更多相关matalb内容请搜索靠谱客的其他文章。
本图文内容来源于网友提供,作为学习参考使用,或来自网络收集整理,版权属于原作者所有。
发表评论 取消回复