微信公众号: MitchHong微信号: ASparkleSubscription作者: Mitch Hong
Untitled
刚刚中午在写作业的时候突然想起来的这个方法,感觉应该有点用,就趁热做了这篇推送来分享一下,哈哈哈。
呐,就是上图中红框的那道题,要把
给算出来,这我当时就准备用一个循环来算了,但当时我脑海中突然闪过一道光,然后就冒出来了用矩阵来算一下的念头(本人数学菜鸟)。哈哈,不过幸好还记得点线性代数上的一些知识,试了一下算出来了。下面先放上代码再简单解释一下。
A1 = 1;
A2 = 0.5;
A3 = 0.2;
A = [A1, A2, A3];
f0 = 5; %Hz
i = [1:3]';
x3 = @(t) A * sin(2*pi*f0* i * t);
fs = 2048; % 采样频率Hz,每秒2048个点
Ts = 1 / fs; % 采样间隔
n = 0 : 2048 - 1; % 2k个点(正好采1s)
t = n .* Ts; % 时间t
plot(t, x3(t))
下面这是结果
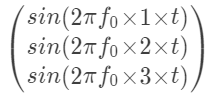
现在看一下题中的那个式子,它就是下面这三行相加:


这就能写成
到这还没结束
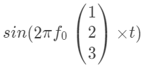
上面这个矩阵可以写成如下的形式
嘿嘿,所以那个题中的那个和式可以写成如下的形式
这便是程序中的这行了
x3 = @(t) A * sin(2*pi*f0* i * t);
注意,A是行向量,i是列向量。到此这个小技巧便说完了,实际上还是数学知识,不算是什么小技巧。艾,这个MarkDown中用latex插入公式简直太好用了,夸一下。
But,要是这个线代中矩阵的乘法都一点也不记得的话,对上面的这个方法没信心,那还是用循环把,如下:
x = 0;
for i = 1 : length(A)
x = x + A(i).*sin(2*pi*f0*i .*t);
end
sum(x == x3(t)) % 和上面利用矩阵运算的出来的结果对比一下,看看两个算出来的值是否都一样
这个在命令行中输出的结果如下
哈哈,说明这2048个点都一样,说明上面用矩阵运算算出来的结果是对的,自信点,哈哈。
本篇内容不多,写了一个多小时,阅读可能就几分钟就读完了。。。
还有昨天那篇推送中的远程仓库链接,忘改成公有的了,这里重新放一下:https://gitee.com/mitchhong/ArrayADT.git
最后
以上就是专一冬天最近收集整理的关于matlab循环_MATLAB小技巧:巧用矩阵运算,避免循环的全部内容,更多相关matlab循环_MATLAB小技巧:巧用矩阵运算内容请搜索靠谱客的其他文章。
本图文内容来源于网友提供,作为学习参考使用,或来自网络收集整理,版权属于原作者所有。
发表评论 取消回复