一丶什么是偏置电路?
首先,对于一个单级双极性晶体管放大电路,为了使其可以将信号不失真的放大,我们必须将晶体管置于合适的工作条点。最基本的放大条件:“发射结正偏,集电结结反偏”,当然如果想要其实现放大不失真,则需要更加精确的设置晶体管的基极、发射极和集电极处于所要求的电位。而这些外部电路就称为偏置电路。在大规模的电路设计中,为了使电路各部分处于合适的工作条件,从而达到预期性能,我们往往需要对电路的各部分都提供合适的偏置,因此,偏置电路很重要。
二丶偏置电路基本结构
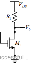
如下图所示,为最简单的电阻分压电路,易得偏置电压: V b = R 2 R 1 + R 2 ⋅ V D D V_{b}=frac{R2}{R1+R2}cdot V_{DD} Vb=R1+R2R2⋅VDD(针对噪声干扰等问题,常用小信号分析)

当电源电压VDD收到一个扰动
△
V
D
D
bigtriangleup V_{DD}
△VDD,此时该电路生成的偏置电压
V
b
V_{b}
Vb也会产生相应的波动
V
b
=
R
2
R
1
+
R
2
⋅
△
V
D
D
V_{b}=frac{R2}{R1+R2}cdot bigtriangleup V_{DD}
Vb=R1+R2R2⋅△VDD。但是对于偏置电压来说,微小的波动,将会引起电路性能的极大变化,对于高精度的电路来说,此时的偏置电压
V
b
V_{b}
Vb波动,将不被允许。因此需要继续对其结构进行优化。上式中很明显,当R1/R2的值越大,则偏置电压波动越小。因此,将R2替换为二极管接法的MOS管M1,结构如下:

对于二极管接法的MOS,其等效交流输入阻抗为:
1
g
m
frac{1}{g_{m} }
gm1,因此可以作为一个小电阻,在这种结构下,电源波动的电压,将更多的体现在电阻R1上,该结构相比上一结构,输出的偏置电压波动更小更稳定。但是,虽然该结构相比第一种更优,但得到的偏置电压仍然不理想,假设电阻
R
1
⟶
∞
R1longrightarrow infty
R1⟶∞,那么电源电压的波动将会被R1完全屏蔽,但阻值无穷大的电阻是不存在的。在电路中,常将用电流源作大电阻,甚至理想的电流源等效于阻值无穷大的电阻。示意图如下:

上图即为理想的偏置电路结构。常见偏置结构,将针对上述结构进行展开。
三丶常见偏置电路结构
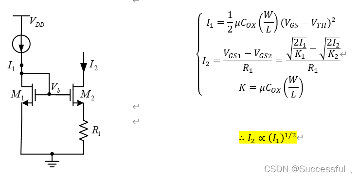
(1)二极管作为小电阻

该结构,由M1与R1支路定义电流大小,然后M1栅极电压 Vb 也随之确定,理想情况下,Vb 可以驱动无穷多个MOS栅极(M2栅极绝缘,不会索取电流)。对于有下端M1-M2组成的电流镜且 V G S 2 = V G S 2 V_{GS2}=V_{GS2} VGS2=VGS2,若M1-M2都处于饱和状态,那么由 I D S = 1 2 μ C o x ( W / L ) ( V G S − V T H ) 2 I_{DS}=frac{1}{2} mu C_{ox}(W/L)(V_{GS}-V_{TH})^{2} IDS=21μCox(W/L)(VGS−VTH)2 易得 I 1 I 2 = ( W / L ) 1 ( W / L ) 2 frac{I_{1}}{I_{2}} =frac{(W/L)_{1}}{(W/L)_{2}} I2I1=(W/L)2(W/L)1 (电流与尺寸呈线性关系,称线性电流镜,基本标志是两个MOS的栅源电压 V g s V_{gs} Vgs相同),一旦偏置电压Vb确定,则可以通过电流镜进行拷贝。
电路分析:
对R1串联支路进行分析,由KCL :
1
2
μ
C
o
x
(
W
/
L
)
1
(
V
G
S
−
V
T
H
)
2
=
V
C
C
−
V
b
R
1
frac{1}{2} mu C_{ox}(W/L)_{1}(V_{GS}-V_{TH})^{2}=frac{V_{CC}-V_{b}}{R_{1}}
21μCox(W/L)1(VGS−VTH)2=R1VCC−Vb 。易得
V
G
S
=
f
(
V
C
C
)
V_{GS}=f(V_{CC})
VGS=f(VCC) ,则改偏置电路产生的偏置电压 Vb 是电源VCC的函数,即电源波动会导致偏置变化。解的
V
b
=
V
T
H
−
1
k
R
1
+
(
1
k
R
1
−
V
T
H
)
2
−
V
T
H
2
+
2
V
C
C
k
R
1
V_{b}=V_{TH}-frac{1}{kR_{1}}+sqrt{(frac{1}{kR_{1}}-V_{TH})^2-V_{TH}^2+frac{2V_{CC}}{kR_{1}}}
Vb=VTH−kR11+(kR11−VTH)2−VTH2+kR12VCC ,
k
=
μ
C
o
x
(
W
/
L
)
k=mu C_{ox}(W/L)
k=μCox(W/L)。即
V
b
∝
(
V
C
C
)
1
2
V_{b}propto (V_{CC})^frac{1}{2}
Vb∝(VCC)21
(2)恒流源作为大电阻
目标:产生一个与电源电压无关的Vb,那么就需要将VDD上的电压波动全部加在电阻上,即电阻阻值越大越好,所以考虑用恒流源代替电阻,充当大电阻(毕竟理想恒流源可以作为无限大的电阻),而二极管接法的MOS交流阻抗趋近于0。那么该偏置电路的稳定性在交流和直流条件下,经得到本质性提高。
一般常用固定偏压的MOS作为恒流源,如下图所示:

从上面的结构中,发现一个问题,作为电流源的M2,需要一个电压偏置,那么这个偏置由谁来提供呢?(当然是自己,自偏置)(也就是吴金老师所说的鸡蛋问题,是先有了恒压源还是先有了恒流源?)下面将引出一个结构:

针对该结构,首先从左图中,假设存在一个
V
b
i
a
s
1
V_{bias1}
Vbias1(因) 使得M1作为一个恒流源,其
I
D
S
1
=
I
1
I_{DS1}=I_{1}
IDS1=I1 ,该电流通过M3后产生偏置电压
V
b
V_{b}
Vb(果);随后在
V
b
V_{b}
Vb(因)作用下使得M4导通并产生电流
I
D
S
4
=
I
2
I_{DS4}=I_{2}
IDS4=I2(果);随后
I
2
I_{2}
I2(因)通过M2后,产生偏置电压
V
b
i
a
s
2
V_{bias2}
Vbias2(果),最后若
V
b
i
a
s
1
=
V
b
i
a
s
2
V_{bias1}=V_{bias2}
Vbias1=Vbias2 则实现自偏置(因果循环),即右图。但是这个电路合理吗?下面进行简要分析:

从电路图可知,M1-M2与M3-M4分别构成电流镜,随着
W
/
L
W/L
W/L变化,其电流示意图如下:

若两电流镜的电流比例不同,则该电路仅存在唯一解,即
I
1
=
I
2
=
I
3
=
I
4
=
0
I_{1}=I_{2}=I_{3}=I_{4}=0
I1=I2=I3=I4=0;若两电流镜的电流比例相同,则该电路仅存在无穷解,即电流随意,无电流定义机制,那么偏置电压也不确定;因此通过分析可以知道,两线性电流镜构成的偏置电路不可行。必须引入非线性因素。

在第一种情况无可行解(除了零点),在第二种情况中,电路有唯一解A,即电路中有唯一确定的静态电流与偏置电压。关键在于,如何引入非线性因素?
电路结构如下:
(3)加入电阻引入非线性因素

由分析可知,通过在M2源极添加电阻,可以引入非线性因素。下面针对一个实际电路图分析,分析忽略沟道长度调制效应。
线性电流镜(确定两支路电流比例) 与 非线性电流镜(确定电流大小,从而确定Vb)结合

电路分析:
其中M1-M2为线性电流镜,定义了两支路电流的大小关系,
(
W
/
L
)
1
(
W
/
L
)
2
=
1
1
frac{(W/L)_{1}}{(W/L)_{2}} =frac{1}{1}
(W/L)2(W/L)1=11,电阻R1的引入,将M3-M4构成的线性电流镜,变为非线性,并且电阻R1定义了支路电流的大小
I
R
1
=
(
V
G
S
3
−
V
G
S
4
)
/
R
1
I_{R1}=(V_{GS3}-V_{GS4})/R_{1}
IR1=(VGS3−VGS4)/R1。 注意,在设计过程中由于
V
G
S
3
>
V
G
S
4
V_{GS3}>V_{GS4}
VGS3>VGS4且
I
D
S
1
=
I
D
S
2
I_{DS1} =I_{DS2}
IDS1=IDS2,那么肯定有
(
W
/
L
)
3
:
(
W
/
L
)
4
=
1
:
N
(W/L)_{3}:(W/L)_{4}=1:N
(W/L)3:(W/L)4=1:N,其中N>1 ,否则无解。一般N取4~8 (太小可能失配不导通,太大,有可能进入亚阈值区域)。
上述分析,忽略了沟道长度调制效应,因此,实际该电路的恒流源仍然不理想。
三丶常见偏置电路结构
(1) △ V / R bigtriangleup V/R △V/R 型偏置电路 (适用于小电流偏置)

M1-M2构成 线性电流镜 确定电流比例,M1-M4在电阻的作用下构成 非线性电流镜 ,确定电路电流大小,进而确定输出的偏置电压大小。
下面是套娃过程:可以反复的叠加电流镜,但是总要有非线性电流镜的存在

(2) V / R V/R V/R 型偏置电路 (适用于大电流偏置)
MOS搭建

BJT搭建

利用恒流源替代电子R1,性能更加稳定

对于图(d)即使压低 V A V_{A} VA,M5也不会进入线性区,M1-M2构成电流镜且尺寸相同,所以决定了两支路中电流大小相等、相等的电流经过M3-M4,又因为M3-M4尺寸相同,因此 V D S 3 = V D S 4 V_{DS3}=V_{DS4} VDS3=VDS4,进而得到 V A = V B V_{A}=V_{B} VA=VB,那么AB两点在电学上近似短路,而M5相当与一个二极管,因此M5一直会保持在饱和状态。
内容尚未核验,欢迎交流探讨
最后
以上就是腼腆火最近收集整理的关于【笔记:模拟MOS集成电路】偏置电路(基本原理+结构分析)的全部内容,更多相关【笔记内容请搜索靠谱客的其他文章。
发表评论 取消回复