一、射频功率放大器的基本概念
RFPA 在射频发射机中的作用
射频发射机主要包括信号源产生单元,调制以及功率放大等模块,中间再加入基本的滤波环节。对于一个功率放大器而言,其重要作用是扩大功率,获得足够的信号强度以便通过天线辐射出去;同时该过程信号不失真。
二、功率放大器的基本类型
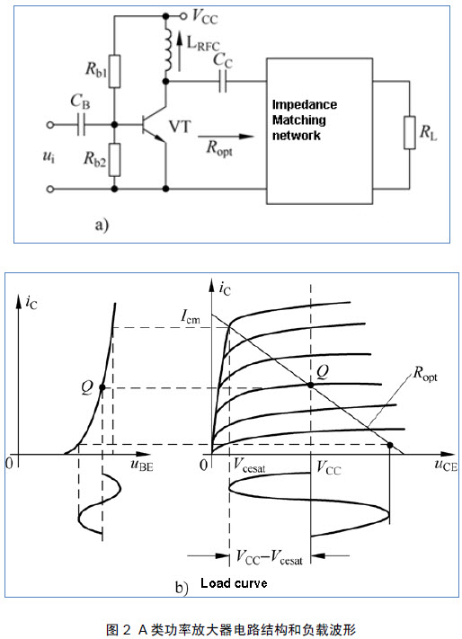
由于功率放大器输出功率大,从直流电能转换成交流输出功率的转换效率是功率放大器所要研究的主要问题。为提高效率,功率放大器一般有A 类、B 类、C 类、D 类、E 类等,其效率逐级提升。A 类功率放大器是线性放大器,它对输入正弦波的响应是正弦波输出,一般是不失真放大,而且输出频率和输入频率相同。B 类放大器的输出是输入的半个正弦波,形成半波失真,从而产生很多谐波。
因为无线WLAN信号是非恒定包络,它必须用线性放大器放大,才能满足信号不失真放大。同时802.11x所用频段ISM为公用频段,能提供的功率很小,一般小于1W(不同国家要求不同)。在这样的情况下,选择效率不高的A类功率放大器,能很好获得较优线性度。另一方面,由于A类放大器不需要额外的滤波电路,其封装可以很小,并且成本较低。

交直流负载曲线:
u
C
E
≈
V
c
c
⋅
i
c
⋅
R
L
u_{CE}≈V_{cc}cdot i_{c}cdot R_{L}
uCE≈Vcc⋅ic⋅RL
当
U
B
E
U_{BE}
UBE变小直至接近
U
B
E
(
O
N
)
U_{BE(ON)}
UBE(ON)时,即为B类功率放大器。
三、功率放大器主要技术指标
我们关注功率放大器的指标主要有频率范围、输出功率、增益、1dB压缩点、增益平坦度、谐波抑制性能、匹配性能。
四、RFPA重要特征
一个理想的放大器,其输出信号应当如实反映输入信号,即波形应该是相同的。但是实际上由于多种原因,输入信号不可能与输入信号的波形完全相同,这称为放大器失真。
放大器失真主要有频率失真(线性失真)和波形失真(非线性失真),前者主要指对不同频率成分,放大器的增益和延时有差异;后者指对同一频率,输出信号与输入信号不成线性关系。频率失真表现在频域上的频谱改变,而非线性失真则表现为时域波形上的变化。非线性失真区别于频率失真主要是会产生大量新的频率分量。
这里主要讨论功率放大器的非线性失真。
4.1 非线性特性


从理想晶体管的小信号模型和输入特性曲线可以看出,晶体管放大器本身不是理想线性器件,同时由于寄生参数的影响,线性度进一步下降。但是在一定的功率范围内,晶体管是可以看成线性放大的。对于功率放大器设计者来说,如何获得更高的输出功率,提高线性度是关键。
对于晶体管放大器而言,其伏安特性可以如下描述:
i
C
≈
I
E
B
S
e
u
b
e
U
T
i_{C}≈I_{EBS}e^{frac{u_{be}}{U_{T}}}
iC≈IEBSeUTube
可以用幂级数展开式来描述器件的伏安特性
y
(
t
)
=
a
1
⋅
x
(
t
)
+
a
2
⋅
x
(
t
)
2
+
a
3
⋅
x
(
t
)
3
+
⋅
⋅
⋅
y(t)=a_{1}cdot x(t)+a_{2}cdot x(t)^{2}+a_{3}cdot x(t)^{3}+cdot cdot cdot
y(t)=a1⋅x(t)+a2⋅x(t)2+a3⋅x(t)3+⋅⋅⋅
式中
a
n
a_{n}
an(n=0,1,2,3,…)为与电路特性有关的系数,通常n 越大,则系数
a
n
a_{n}
an的值越小。当电路中非线性器件用幂级数表示时,所取的级数项数就完全取决于信号幅度的大小和所要求的精度。
4.2 非线性特性的影响
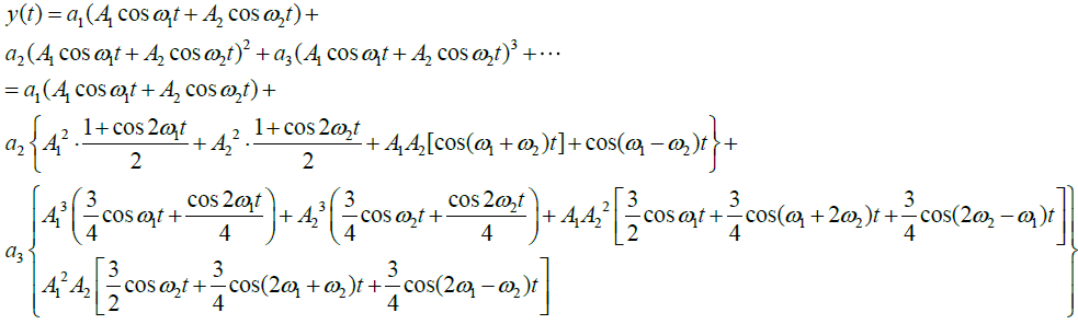
器件非线性特性对放大器的影响,可以分两种情况加以讨论。一是输入端只有一个信号输入时,二是输入端除有用信号以外,还有一个到两个其他信号作用时的工作情况。
4.2.1 输入端仅有一个信号
设输入端的信号为
x
(
t
)
=
A
∗
c
o
s
(
w
t
)
x(t)=A*cos(wt)
x(t)=A∗cos(wt),代入公式2,此时有
y
(
t
)
=
a
1
⋅
A
⋅
c
o
s
(
w
t
)
+
a
2
⋅
A
2
⋅
c
o
s
(
w
t
)
2
+
a
3
⋅
A
3
⋅
c
o
s
(
w
t
)
3
+
⋅
⋅
⋅
y(t)=a_{1}cdot Acdot cos(wt)+a_{2}cdot A^{2}cdot cos(wt)^{2}+a_{3}cdot A^{3}cdot cos(wt)^{3}+cdot cdot cdot
y(t)=a1⋅A⋅cos(wt)+a2⋅A2⋅cos(wt)2+a3⋅A3⋅cos(wt)3+⋅⋅⋅
=
a
2
⋅
A
2
/
2
+
(
a
1
⋅
A
+
3
/
4
⋅
a
3
⋅
A
3
)
c
o
s
(
w
t
)
+
a
2
⋅
A
2
/
2
⋅
c
o
s
(
2
w
t
)
+
a
3
⋅
A
3
/
4
⋅
c
o
s
(
3
w
t
)
+
⋅
⋅
⋅
=a_{2}cdot A^{2}/2+(a_{1}cdot A+3/4cdot a_{3}cdot A^{3})cos(wt)+a_{2}cdot A^{2}/2cdot cos(2wt)+a_{3}cdot A^{3}/4cdot cos(3wt)+cdot cdot cdot
=a2⋅A2/2+(a1⋅A+3/4⋅a3⋅A3)cos(wt)+a2⋅A2/2⋅cos(2wt)+a3⋅A3/4⋅cos(3wt)+⋅⋅⋅ (公式2)
当输入信号幅度大而必须考虑到三次方项的作用时,则由公式2 得到基频信号为
y
1
(
t
)
=
(
a
1
⋅
A
+
3
/
4
⋅
a
3
⋅
A
3
)
c
o
s
(
w
t
)
y_{1}(t)=(a_{1}cdot A+3/4cdot a_{3}cdot A^{3})cos(wt)
y1(t)=(a1⋅A+3/4⋅a3⋅A3)cos(wt) (公式3)

公式3 中的
a
3
a_{3}
a3 通常为负值,即
y
1
(
t
)
y_{1}(t)
y1(t)随输入信号幅度增大而增益减小,这一现象称为增益压缩。
工程中常用“1dB 压缩点”来度量器件的线性性能。1dB 压缩点定义为使增益比线性增益下降1dB 所
对应的输入信号功率P1dB. 如图4 所示。根据1dB 压缩点的定义和公式3 可得
20
⋅
l
o
g
(
a
1
+
3
/
4
⋅
a
3
⋅
A
−
1
d
B
2
)
=
20
⋅
l
o
g
(
a
1
)
−
1
d
B
20cdot log(a_{1}+3/4cdot a_{3}cdot A_{-1dB}^{2})=20cdot log(a_{1})-1dB
20⋅log(a1+3/4⋅a3⋅A−1dB2)=20⋅log(a1)−1dB
A
−
1
d
B
=
0.145
⋅
∣
a
1
/
a
3
∣
A_{-1dB}=sqrt{0.145cdot left | a1 /a3right |}
A−1dB=0.145⋅∣a1/a3∣
4.2.2 输入端有两个信号
在放大器输入端放大的信号一般不是单音信号,而是由一定带宽组成的频谱信号,由于器件的非线性,会使输出端产生除有用信号以外的大量组合干扰频率分量。另外两个以上干扰信号组合频率分量也有可能对有用信号产生干扰。假设
x
(
t
)
=
A
1
∗
c
o
s
(
ω
1
t
)
+
A
2
∗
c
o
s
(
ω
2
t
)
x(t)=A_{1}*cos(ω_{1}t)+A_{2}*cos(ω_{2}t)
x(t)=A1∗cos(ω1t)+A2∗cos(ω2t)
代入公式1 中,有
由上式 可知,ω1 和ω2 的基频分量由一次方和三次方项产生:
y
1
(
t
)
=
(
a
1
A
1
+
3
/
4
⋅
a
3
A
1
3
+
3
/
2
⋅
a
3
A
1
A
2
2
)
c
o
s
ω
1
t
+
(
a
1
A
2
+
3
/
4
⋅
a
3
A
2
3
+
3
/
2
⋅
a
3
A
2
A
1
2
)
y_{1}(t)=(a_{1}A_{1}+3/4cdot a_{3}A_{1}^{3}+3/2cdot a_{3}A_{1}A_{2}^{2})cosω_{1}t+(a_{1}A_{2}+3/4cdot a_{3}A_{2}^{3}+3/2cdot a_{3}A_{2}A_{1}^{2})
y1(t)=(a1A1+3/4⋅a3A13+3/2⋅a3A1A22)cosω1t+(a1A2+3/4⋅a3A23+3/2⋅a3A2A12)
一共产生了多种频率分量:ω1 , ω2 , ω1 ± ω2, 2ω1 - ω2, 2ω2 - ω1 , 3ω1 - 2ω2, 3ω2 - 2ω1。
组合频率中的差频2ω1 - ω2, 2ω2 - ω1,由三次方项产生,这两个信号频率组合恰好会在信号频
率的边带范围内,有可能对相邻信道产生干扰,是发射信号的主要指标。

这种干扰是由两个信号的相互调制引起的,所以称为互调干扰。同时它是有三次方项产生的互调,
所以工程中也称为三阶互调干扰。
三阶互调干扰时通信机的重要指标,工程上常用互调失真比IMR 和三阶互调阻断点IP3 来度量。IMR 定义为在某一输入幅度下三阶互调分量幅度和基频信号幅度的比值。IP3 的定义:当三阶互调分量增长到和基频分量相等时,接收机无法正常接收,因此有
a
1
A
I
P
3
3
=
3
/
4
⋅
a
3
⋅
A
I
P
3
3
a_{1}A_{IP3}^{3}=3/4cdot a_{3}cdot A_{IP3}^{3}
a1AIP33=3/4⋅a3⋅AIP33
4.2.3 边带信号

边带信号实际上大部分是带宽内不同频率的有用信号相互调制后在带宽外产生的,随着信号幅度增大,三阶互调信号也增大,并且后者增大的倍数是前者的三倍,即表现为边带信号上升比带内信号快,上图中的频谱模板越来越趋平缓。边带信号的增大会对相邻信道产生干扰,所以IEEE 802.11协议对频谱的模板有严格要求,如下图。


对于功率放大器,其非线性特性会增大调制信号边带,而边带幅度不容易被其它网络如滤波器抑制,很容易产生设计困难。所以选择PA时不仅要关注其所能实现的最大线性输出,还要关注其在该输出功率下是否能符合边带频谱要求。
4.2.4 非线性其他影响
除了前面提到的增益下降,产生大量谐波分量,以及三阶互调和边带,非线性也会导致信号星座图和EVM变差等。
本人微博还会继续讲解功放PA的选择和设计,有兴趣可以进一步阅读。
最后
以上就是醉熏短靴最近收集整理的关于射频功率放大器 PA 的基本原理和信号分析的全部内容,更多相关射频功率放大器内容请搜索靠谱客的其他文章。
发表评论 取消回复