FMCW-频率调制
基本原理:FMCW基于飞行时间(TOF)原理,通过测量激光在接收机与目标物间的时间来获取距离。通常,将RF调制副载波信号对激光信号载波进行调制。
1. 频率调制
即RF信号是频率随时间变化的信号对激光信号进行调制,基于锯齿波具有生成简单,本文采用锯齿波信号对激光载波进行调制。
1.1 调制方式
a. 内调制:通过电流或电压对激光器内腔直接进行调制,使得输出激光信号的频率改变;
b. 外调制:即采用激光器+激光外调制器的模式,例如单频激光器+声光移频器(AOM),单频激光器+相位调制器(EOM).
1.2 测距原理
采用基于如图1所示的FMCW激光测距原理图,通过调制的线性调频激光信号,将测量信号与参考信号进行拍频,得到探测目标的距离

锯齿波线性调频信号是频率随时间呈锯齿形线性变化的正弦波信号,如图2

图2 调制信号时域与频域图
LFMCW的发射信号与接收信号频率随时间变化曲线如图3.

图3. 发射信号与接受信号拍频原理图
发射信号的频率与相位分别为:

经过目标反射后的相位为:

在探测器表面拍频之后的相位差为

得到拍频:

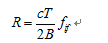
最后得到距离为:

最后
以上就是暴躁刺猬最近收集整理的关于FMCW-频率调制FMCW-频率调制的全部内容,更多相关FMCW-频率调制FMCW-频率调制内容请搜索靠谱客的其他文章。
本图文内容来源于网友提供,作为学习参考使用,或来自网络收集整理,版权属于原作者所有。
发表评论 取消回复