我是靠谱客的博主 威武水池,这篇文章主要介绍区块链技术2---BTC的数据结构1:Hash pointers(哈希指针)2:Block chain3:Merkle Tree(默克尔树)4:Merkle Proof,现在分享给大家,希望可以做个参考。

1:Hash pointers(哈希指针)

和普通指针相比,哈希指针除了保存地址还保存哈希值

2:Block chain

区块链中的区块通过哈希指针相连,这里的哈希指针的哈希值是对前一个区块的整体取哈希值(包括前一个区块的哈希指针),因此区块链如果有一个区块被修改,那么他之后的所有区块都会被修改,我们只需要判断最后一个区块的哈希值,就可以判断整个区块是否被修改过。在实际应用中,用户可能只有区块链中的一段内容,如果需要用到前面的区块内容数据时,直接向其他节点要即可


3:Merkle Tree(默克尔树)

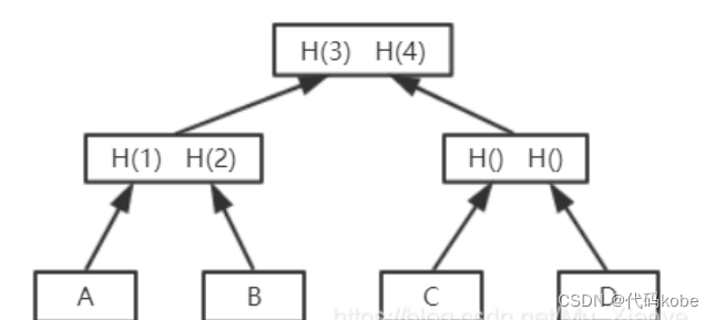
3.1Merkle Tree 用哈希指针代替了普通指针:

该数据结构的优点在于:只需要记住 Root Hash(根哈希值),便可以检测出对树中任何部位的修改。例如节点B发生了改变,则H(2)也会发生改变,进而导致根节点的H(3)也会发生改变,从而使得Root Hash也发生改变。在比特币系统中,不同区块通过哈希值指针连接,在同一个区块中的多个交易(数据块),则通过Merkle Tree的形式组织在一起。区块本身分为两部分(块头和块身),在块头中存在有根哈希值(没有交易的具体信息),块身中存在交易列表。

4:Merkle Proof

Merkle Tree的实际用途 Merkle Tree可以用于提供 Merkle Proof。关于Merkle proof,需要先了解比特币系统中的节点。比特币中节点分为轻节点和全节点。全节点保存整个区块的所有内容,而轻节点仅仅保存区块的块头信息(Block header)。

当需要向轻节点证明某条交易是否被写入区块链,便需要用到Merkle Proof。我们将该交易到根节点的这一路径称为Merkle Proof,全节点将整个Merkle Proof发送给轻节点,轻节点即可根据其算出根哈希值,然后与轻节点自身保存从根哈希值进行对比即可,从而验证该交易是否被写入区块链。

最后

以上就是威武水池最近收集整理的关于区块链技术2---BTC的数据结构1:Hash pointers(哈希指针)2:Block chain3:Merkle Tree(默克尔树)4:Merkle Proof的全部内容,更多相关区块链技术2---BTC的数据结构1:Hash内容请搜索靠谱客的其他文章。

本图文内容来源于网友提供,作为学习参考使用,或来自网络收集整理,版权属于原作者所有。
点赞(183)

评论列表共有 0 条评论

立即
投稿
返回
顶部