(1)Weighted Matric Methods
(1)目的:
利用多目标组合成单目标,但是不同的是不是加权和的方法。
(2)在目标空间的对Pareto-optimal solution 的覆盖现象覆盖----p 分别为1,2,足够大
a special theorem for the weighted Tchebycheff metric formulation
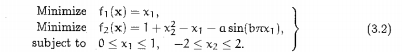
(3 )举例子: 还是之前的题目呦:
题目:
参数a=0.1,b= 3 的目标空间-------匪非凸函数
使用加权矩阵的方法:
(1) The weighted Tchebycheff metric guarantees finding each and every Pareto-optimal solution when Z* is a utopia objective vector(Miettinen 1999).
(2)But the methods need knowledge of the minimum and maximum function value of each objective and the ideal solution Z*.
(2) Rotated Weighted Metric Methods (变形)
变形后的
例子
(3) Dynamic changing the Ideal Solution
任然还是和上面的一致,通过使用选择不同的p。结合不断的在找到新的Pareto-optimal 点的使用,更新Z*,理想解的 位置
如下:
最后
以上就是端庄鸵鸟最近收集整理的关于阅读Book:MultiObjective using Evolutionary Algorithms(8)---Weighted Matric Methods and Rotated的全部内容,更多相关阅读Book:MultiObjective内容请搜索靠谱客的其他文章。










变形后的




发表评论 取消回复