状态反馈
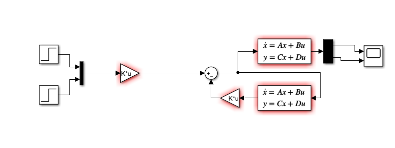
我们知道在多变量系统解耦的过程中需要将状态空间中的状态变量反馈回去从而达到解耦的目的。但是Simulink中的状态空间模块是没有这个功能的,因此我们可以采用搭建相同参数系统,然后让输出方程输出状态向量即可。

图中下面那个状态空间模型的输出矩阵为单位阵,D = 0,A,B与上面状态空间模型相同。另外Simulink下的Gain模块是支持矩阵增益的,并且可以设置两个矩阵乘法的规则(元素运算还是矩阵运算)以及矩阵运算的顺序等。
最后
以上就是善良银耳汤最近收集整理的关于Simulink仿真状态空间中状态反馈的一种方法状态反馈的全部内容,更多相关Simulink仿真状态空间中状态反馈内容请搜索靠谱客的其他文章。
本图文内容来源于网友提供,作为学习参考使用,或来自网络收集整理,版权属于原作者所有。
发表评论 取消回复