Bode Plots(伯德图)
关于伯德图的一点回顾
所谓的频响特性(伯德图)指的是:
系统在正弦信号的激励下稳态响应随信号频率的变化情况。包含幅度随频率的响应、相位随频率的响应两个方面。
对于稳定系统
当输入为正弦信号的时候,输出一定是同频率的正弦信号,可以让s=jω。这种情况下拉式变化就变成了傅里叶变换。H(jω)就可以描述频响特性,。

对于不稳定的系统
对于不稳定的系统,存在右半平面的极点。它的收敛域就碰不到s平面的虚轴,也就是s=σ+jω中的σ≠0,也就没法变为傅里叶变换,没法用H(jω)描述频响特性。
但是我们强行让s=jω代表了什么?对于不稳定的系统,输入正弦信号,输出是发散的,那么哪来的幅频特性曲线(伯德图)?可以这么理解:取s=jω画出来的“幅值响应”,是频率为ω的正弦分量的“稳定分量”的频率特性。
至于发散的幅值,可以说:存在一个特殊的输入,使不稳定系统的输出不发散,我们要分析的是这个“稳态”和“特殊输入”两个要素反映的该不稳定系统的频率响应,也就是伯德图。
画伯德图的方法
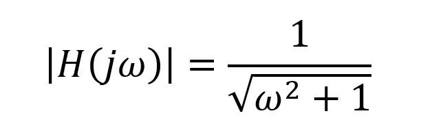
幅值定义
对于单极点系统,幅值的计算如下:

幅频特性曲线画法

角度(相位)定义
对于单极系统,相位
∠H(jω)=-arctanω
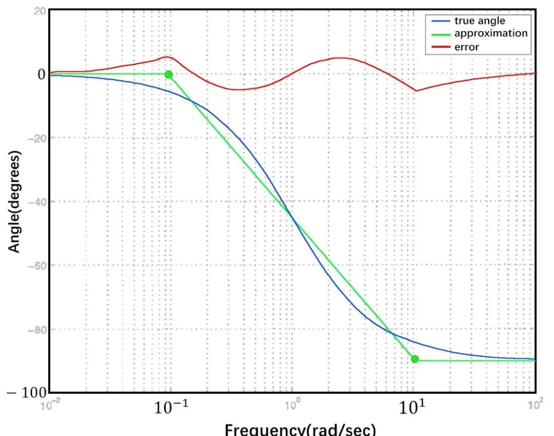
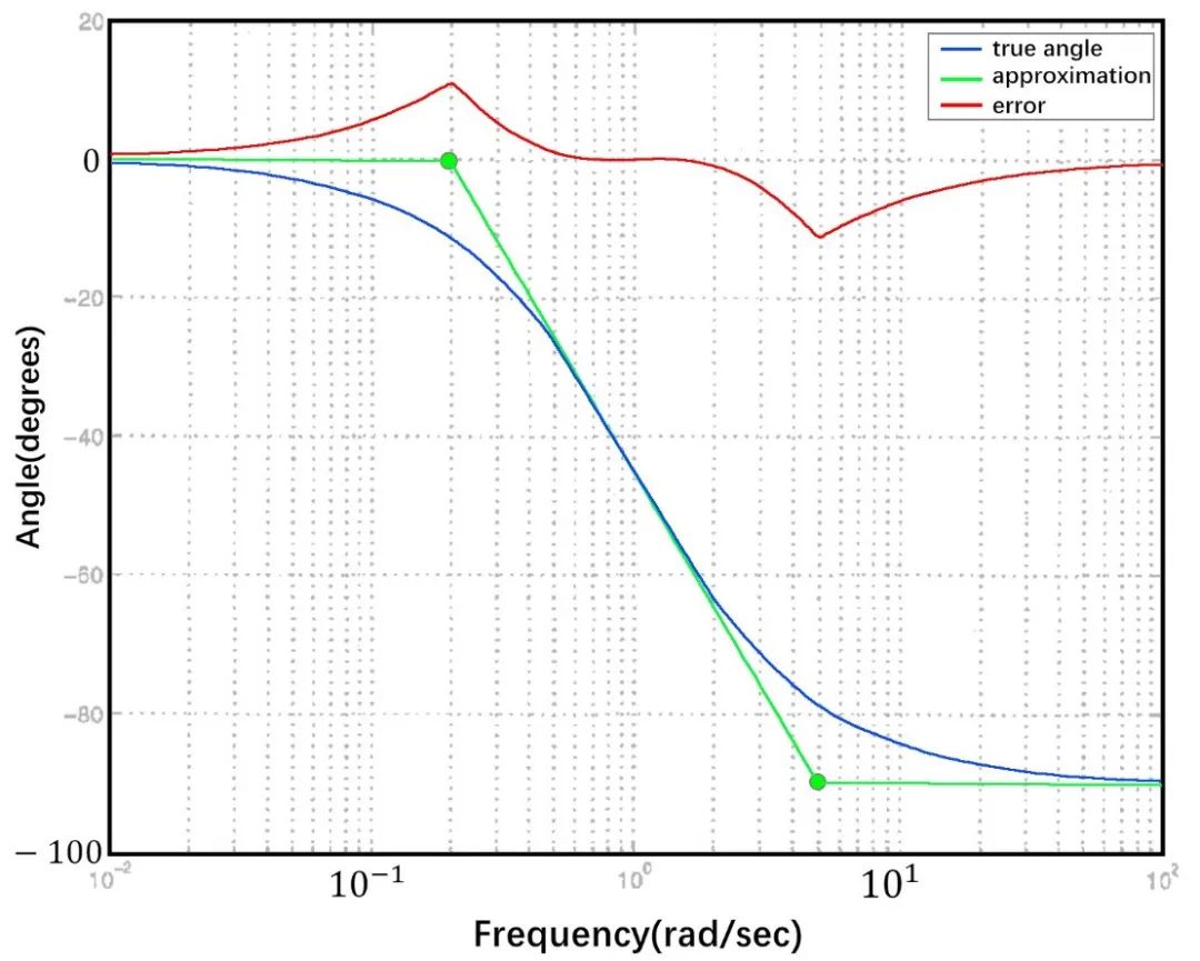
相频特性曲线画法
以单极点为例子
从0度到-90度的平滑过渡,通常徒手绘制,左右的边界大概2 decades。
如果需要更大的精度,有两个常用的近似画法:用于绘制一个极点(或零点)的分段线性角渐近线。假设极点位置在ωp处,两种方法的不同之处在于直线从0度到-90度的斜率。
方法1. 绘制从0.1wp到10wp的线性过渡折线。这种方法角度变化的频率范围延长到2 decades,并以非常小的总误差。然而,这个近似低估相位在wp的变化斜率。
方法2. 画一个从0.2wp到5wp的线性角过渡。该方法以较大的误差为代价来换取wp处的斜率准确度。


选择取决于应用的精确度,以及感兴趣的频率范围。
打些栗子,举些比方
每个例子会画出三维幅值图、零极点图、伯德图、阶跃响应。

H(s)三维幅值坐标图↓↓

s=jω时的剖面图↓↓

零极点图(俯视图)↓↓

伯德图↓↓

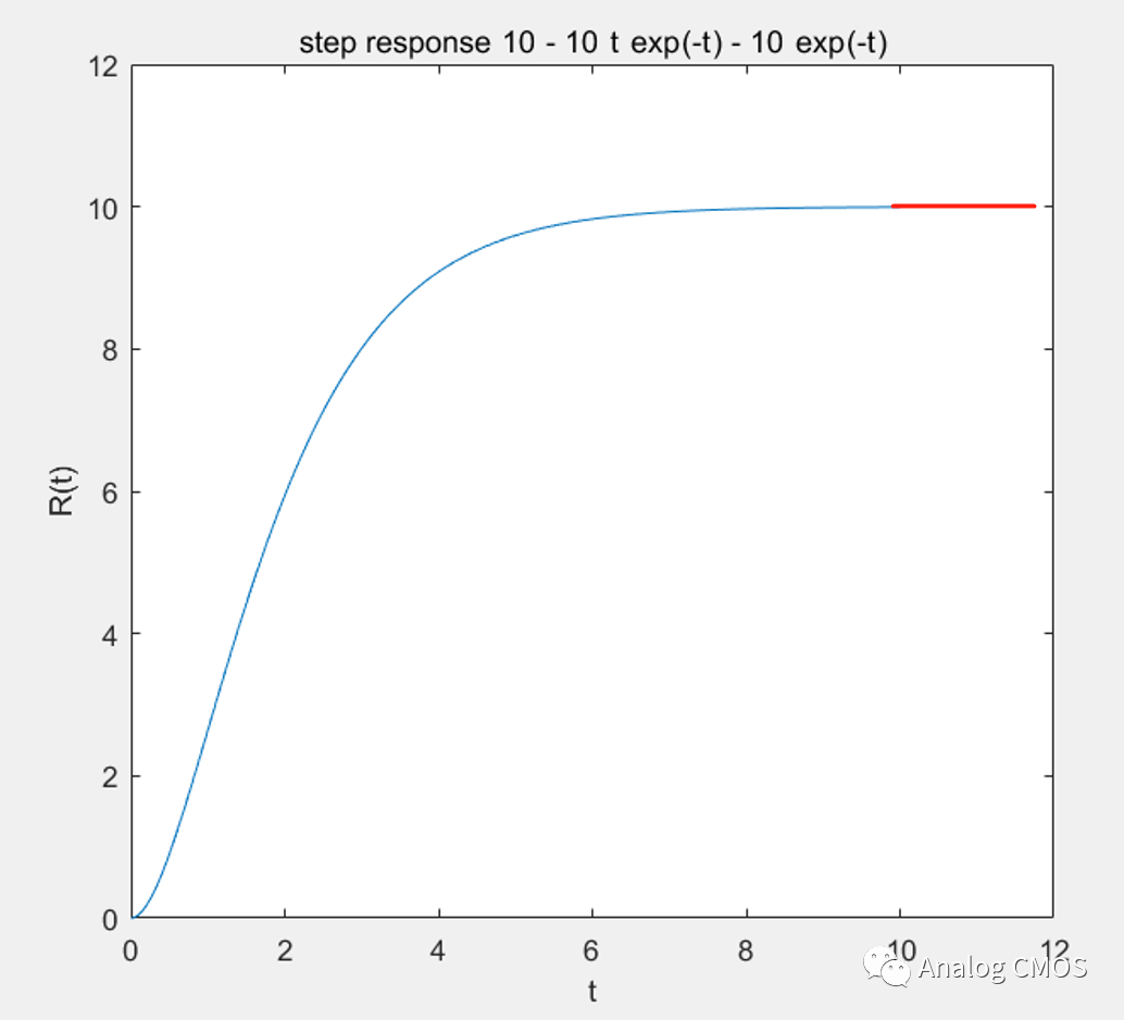
阶跃响应↓↓

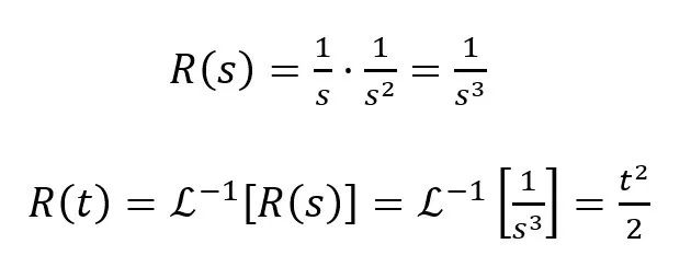
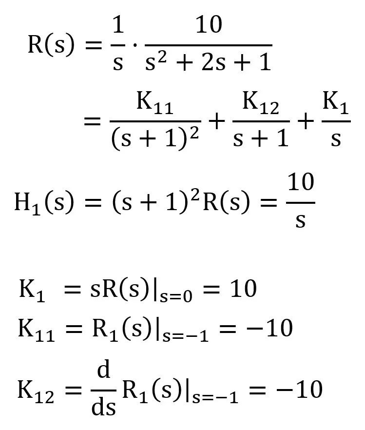
阶跃响应的计算


H(s)三维幅值坐标图↓↓

s=jω时的剖面图↓↓

零极点图(俯视图)↓↓

伯德图↓↓

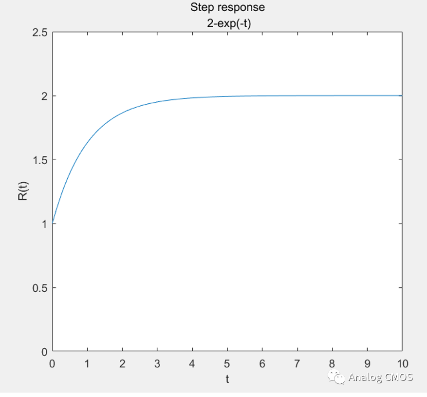
阶跃响应↓↓

阶跃响应的计算↓


H(s)三维幅值坐标图↓↓

s=jω时的剖面图↓↓

零极点图↓↓

伯德图↓↓

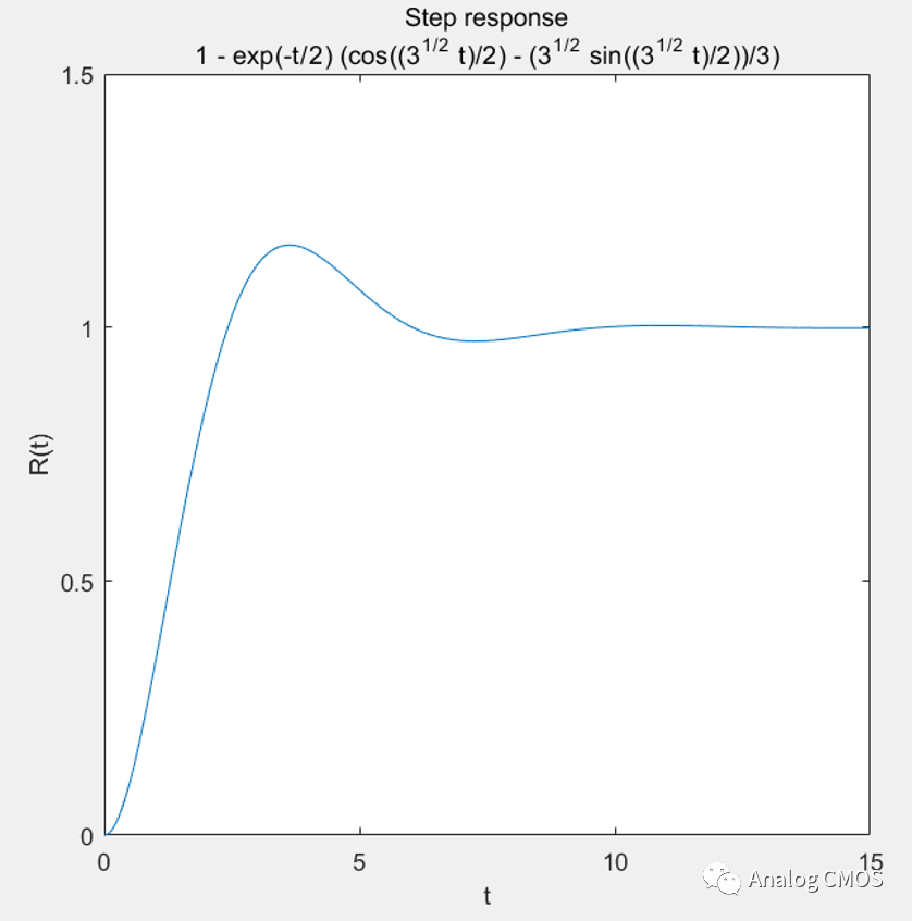
阶跃响应↓↓

阶跃响应的计算



H(s)三维幅值坐标图↓↓

s=jω时的剖面图↓↓

零极点图↓↓

伯德图↓↓

阶跃响应↓↓

阶跃响应的计算: 结果见阶跃响应图标题
复杂的直接用matlab计算↓↓

阶跃响应↓↓


H(s)三维幅值坐标图 ↓↓

s=jω时的剖面图↓↓

零极点图↓↓

伯德图↓↓

阶跃响应↓↓

阶跃响应的计算:计算结果见阶跃响应坐标标题。

H(s)三维幅值坐标图 ↓↓

s=jω时的剖面图↓↓

零极点图↓↓

伯德图↓↓

阶跃响应↓↓

阶跃响应的计算:结果见阶跃响应坐标标题

H(s)三维幅值坐标图 ↓↓

s=jω时的剖面图↓↓

零极点图↓↓

伯德图↓↓

阶跃响应↓↓

阶跃响应的计算:结果见阶跃响应坐标标题

H(s)三维幅值坐标图 ↓↓

s=jω时的剖面图↓↓

零极点图↓↓

伯德图↓↓

阶跃响应↓↓

如有不严谨 请见谅

欢迎关注本公众号:Analog CMOS
右下角“在看”“点赞”
最后
以上就是清爽鸭子最近收集整理的关于matlab伯德图绘制_Bode Plots(伯德图)的全部内容,更多相关matlab伯德图绘制_Bode内容请搜索靠谱客的其他文章。
发表评论 取消回复