目录
1 、小波变换的基本概念
2、 连续小波变换
1 、小波变换的基本概念
信号分析:获得时间和频率之间的相互关系。
傅立叶变换:提供频率域的信息,但有关时间的局部化信息却基本丢失。
小波变换:缩放母小波的宽度来获得信号的频率特征,平移母小波来获得信号的时间信息。缩放和平移操作是为了计算小波系数,小波系数反映了小波和局部信号之间的相关度程度。
小波Wvlt(Wavelet),“小波”就是小区域、长度有限、均值为0的波形。
所谓“小”是指它具有减衰性;而称之为“波”是它则是指它的动波动性,其振幅正负相间的震荡形式。
小波变换可以采用多种小波函数,其中 haar 小波变换就是基于Haar小波函数的小波变换。
Haar 小波函数:

各种小波函数示图。

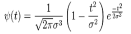
墨西哥帽小波


离散小波变换将一幅图象分解为大小,位置和方向都不同的分量。一个图像作小波分解后,可得一系列不同分辨率的子图像,小波变换正是沿着多分辨率这条线发展起来的。
一幅地图的尺度是地域实际大小与它在地图上表示的比值,地图通常以不同尺度来描述。例如大小一样的世界地图、中国地图、市区地图,尺度不一样,表示的精细程度也不一样,尺度越大看到大致的概貌,尺度越小看到的是越细的东西,尺度实际上就是比例的缩放。
小波变换进行图像分解

与Fourier变换相比:小波变换是时间(空间)频率的局部化分析,它通过伸缩平移运算对信号(函数)逐步进行多尺度细化,最终达到高频处时间细分,低频处频率细分,能自动适应时频信号分析的要求,从而可聚焦到信号的任意节细节,解决了Fourier变换的困难问题,成为继Fourier变换以来在科学方法上的重大突破。有人把小波变换称为“数学显微镜”。
小波:一类在有限区间内快速衰减到0的函数,平均值为0,小波趋于不规则、不对称。
正弦波:从负无穷一直延续到正无穷,平滑而且可预测的。
小波和正弦波形状看出:变化剧烈的信号用不规则的小波分析比用平滑的正弦波更好,用小波更能描述信号的部局特征。
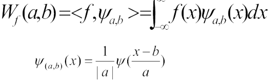
连续小波变换(Continuous Wavelet Transform, WCWT):

小波变换:信号(f(x)与被缩放和平移的小波函数(ψ()之积在信号存在的整个期间里求和的结果。CWT的变换结果是小波系数C,这些系数是缩放因子)和平移的函数。小波变换信号取全部,但小波衰减到零,信号函数f(t)与小波零的信息相乘为零,只有靠近小波移到的中心位置附近的点才有值,小波的值与信号的值相乘累加取和就是小波变换的值(小波系数)。这里和傅里叶变换信号乘正弦波函数所对应的值形式一样。
小波变换累加求和不是每个值都算,小波衰减到0,很多地方都是0,只有小波有值的地方才有值,所以是局部信号分析。
2、 连续小波变换
一维连续小波变换

a是缩放的尺度,b是平移的位置, ψ是小波函数。所有时间域上的信号值与小波函数相乘累加取和就是对应的小波系数。
一维连续小波逆换

墨西哥帽小波

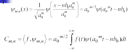
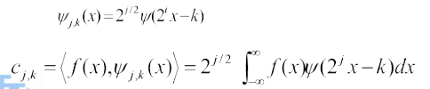
一维离散小波变换

二进小波变换(缩放因子a取的是2)

二维连续小波变换

二维连续小波逆变换

小波变换---缩放
缩放:压缩或伸展基本小波,缩放系数越小,则小波越窄。

第一个f(t)是缩放比例为1的 ψ(t)
第二个f(t)是缩放比例为0.5的 ψ(2t)
第三个f(t)是缩放比例为0.25的 ψ(4t)
小波变换---平移
平移:小波的延迟或超前。在数学上, 函数f(t)迟延迟k的表达式为f(t-k)。
(a) 波数小波函数ψ(t)
(b) 移的波数位移后的小波函数ψ(t-k)

二维小波的二进小波变换,不断的缩小,不断的平移。以第一幅图为中心做一次小波变换,在小波变换的一次左上角上把中心移到它这个图的中心,再进行一次小波变换。小波每进行一次变换中心都进行了一次平移。
小波变换—步骤
CWT计算主要有如下五个步骤:
1)取一个小波,将其与原始信号的开始一节行较进行比较。
2)计算数值C,C表示小波与所取一节信号的相似程度,计算结果取决于所选小波的形状。
3)向右移动小波,重复第一步和第二步,直覆盖整个信号。
4)伸展小波,重复第一步至第三步。
5)对于所有缩放,重复第一至第四步。
小波的缩放因子与信号频率之间的关系:缩放因子scale越小,表示小波越窄,表示信号频率越高,度量的是信号的细节变化;缩放因子scale越大,表示小波越宽,表示信号频率越低,度量的是信号的粗糙程度。
双通道子带编码:原始的输入信号,通过两个互补的滤波器组。
1)低通滤波器,通过该滤波器可得到信号的近似值A,也就是小波相当于伸展了,获得当前低频信号的特征,大致的轮廓性特征;
2)高通滤波器,通过该滤波器可得到信号的细节值D,也就是把小波伸缩了,获得当前信号高频的特征,压缩方面的信号细节特征。

近似值:是大的缩放因子计算的系数,表示信号的低频分量。
细节值:是小的缩放因子计算的系数,表示信号的高频分量。
实际应用中,信号的低频分量往往是最重要,高频分量只起一个修饰的作用。
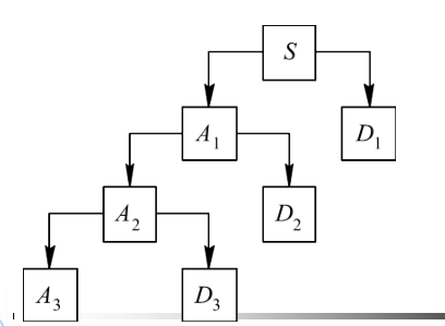
小波变换:可以表示成由低通滤波器和高通滤波器组成的一棵树。原始信号经过一对互补的滤波器组进行的分解称为一级分解,可以进行多级分解。
DWT(Discrete wavelet transform)离散小波变换
信号的多分辨率分析:如果对信号的高频分量不再分解,而对低频分量进行连续分解,可得信号不同分辨率下的低频分量。

在每个缩放因子和平移参数下计算小波系数,计算量大,数据多,还有许多无用数据。选择部分缩放因子和平移参数来进行计算,会使分析的数据量减少。
双尺度小波变换:如果缩放因子和平移参数都选择为2j(j>0且为整数)的倍数,在每个通道内(高通和低通道)每两个样本数据取一个,可得离散小波变换的系数。
双尺度小波变换

小波分解:具体实现过程可以分别设计高通滤波器和低通滤波器,得到高频系数和低频系数,并且每分解一次数据的长度减半。
利用各层系数进行信号分解过程,是将信号通过一系列的不同类型的滤波器,从而得到不同频率范围内的信号,及将信号分解。
对应于信号的多层小波分解:

小波重构:利用信号的小波分解的系数还原出原始信号(IDWT离散小波逆变换)。为分分解的逆过程,先进行增采样,及在每两个数之间插入一个0,与共轭滤波器卷积,最后对卷求结果。
在应用程中,利用各层系数对信号进行重构(注意虽然系数数少于原信号点数,但是重构后的长度是一样的),从而可有选择性地观看每一频段的时域波形,确定冲击成分所在频率范围。
二维离散小波变换
二维离散小波变换:是一维离散小波变换的推广,是将二维信号在不同尺度上的分解,得到原始信号的近似值和细节值。由于信号是二维的,因此分解也是二维的。分解的结果为:近似分量、水平细节分量、垂直细节分量和对角细节分量。

用小波变换进行图像分解
使用小波变换完成图像分解的方法很多,例如,均匀分解、非均匀分解、八带分解、波分等小波包分解等。
八带分解:把低频部分分解成比较窄的频带,而对每一级分解得到的高频部分不再进一步分解。

小波去噪
使用小波分析可以将原始信号分解为一系列的似量分量和细节分量,信号的噪声主要集中表现在信号的细分节分量上。使用一定的阈值处理细节分量后,再经过小波重构就可以得到平滑的信号。
方法:硬门限:当数据的绝对值小于给定的门时限时令其为零,而数据为其他值时不变。软门限:当数据的绝对值小于给定的门时限时,令其为零,然后把其他数据点向零缩收缩
图像增强问题主要通过空域和频域处理两种方法。
空域法:方便快速,但会丢失很多点与点之间的相关信息。
频域法:详细地分离出点之间的相关性,计算量大。基于原始图像尺度上所有点的变换,但
对于问题本身的要求,不需要这么大的分辨率,而单纯的空域分析又显得太粗糙。
小波变换:是一种时间-尺度分析方法,而且具有多分辨率的特点,在处理时所进行的是空域和频域的局部变换。
小波变换不同于傅立叶变换,小波系数于原始图象存在着空间上的对应关系,因此对于滤波处理十分有利,通过了解小波系数的分布情况,利用不同的滤波小波系数,经过逆变换后可以得到理想的处理结果。
一般的傅里叶算法,一般可以是IIIR波滤波和IFIR滤波。两者各有优缺点,而小波的消噪,一般也是由多层分解阈值策略组成。要了解信号的特点,噪声的特点,然后确定用不用小波,或用什么小波。这点上,小波的优势并不是很显明显。
小波压缩
压缩小波最大的优势。小波包是从频域上实现的。从时域上,我们也可采用类似的分裂和并算法,来实信号最优的表达。
傅里叶变换的压缩,已经广泛应用了。简化版本就是DCT变换。而小波的提出,也就使DCT有些相形见拙。
小波变换与傅里叶变换比较
傅里叶变换:用正弦函数的和来表示,只在频域上是局部的。
短时傅里叶变换 (STFT)也是时域和频域都局部化的.但有些频率和时间的分辨率问题。
小波:在时域和频域都是局部的。通常过通过多分辨率分析出信号更好的表示。
对于平稳信号,傅里叶再好不过了。它反映的是信号总体的整个时间段的特点。在频率上,是点频的。
对于非平稳信号,它就无能为力了。而小波恰好对此派上用场。小波是反映信号,某个时间段的特点的。在频域上,是某个频率段的表现。但小波,作为频谱分析的确存在很多问题。
离散小波变换种类

连续小波变换种类

墨西哥帽小波

最后
以上就是慈祥画笔最近收集整理的关于图像的小波变换处理(一)1 、小波变换的基本概念2、 连续小波变换的全部内容,更多相关图像的小波变换处理(一)1内容请搜索靠谱客的其他文章。
发表评论 取消回复