第7章 物理子层
物理子层是底层子层,负责MAC PDU的物理信道,传输和接收;如图7.1所示。 RRC提供PHY子层的配置参数。在MAC / PHY接口,传输信道
在发送和接收时分别映射到物理信道,反之亦然[28]。
RRC将其配置参数发送到每个子层,包括PHY子层,如第4.2,5.2,6.2和7.1节所示。
7.1 RRC配置参数
RRC将专用或默认无线电配置参数发送到PHY子层,以便能够处理针对锚载波或非锚定载波的DL和UL上的传输和接收。这些配置如表7.1所示。如在第3.7.7节中所解释的,在RRC连接建立过程期间,RRC从eNodeB接收PHY配置参数。
7.2 FDD框架结构
下行链路帧结构如图7.2所示。每个无线电帧长度为Tf = 10ms,由20个长度为Tslot = 0:5ms的时隙组成,编号为0到19.子帧被定义为两个连续的时隙RRC

图7.1:PHY子层的描述。
其中子帧nsf由时隙2nsfand 2nsf + 1组成。系统帧号中的子帧nsf具有绝对子帧号
nabs / sf = 10nf + nsf。
对于上行链路帧,表示无线电帧内的时隙号
ns其中ns 2 f0; 1; ::: ;; 19g,Δf= 15KHz,ns 2 f0; 1; ::: ;; 4克
Δf= 3:75 KHz。
上行链路帧结构与图7.2中的相同,持续时间为10ms,如果Δf= 15KHz,则为20个时隙。如果Δf= 3:75 KHz,则帧持续时间为10 ms,仅有5个时隙(时隙为2 ms),如图7.3所示,其中时隙边界与图7.2中的子帧边界相同。
对于半双工FDD,20个时隙可用于下行链路传输,并且20个时隙(Δf= 15KHz)或5个时隙(Δf= 3:75KHz)可用于每10ms间隔中的上行链路传输。上行链路和下行链路传输在频域中分离。在半双工FDD操作中,UE不能同时发送和接收。
NB-IoT UE仅支持半双工类型B.在B类半双工FDD中,整个子帧用作接收和发送之间的保护。这允许仅使用可以在上行链路和下行链路频率之间切换的单个振荡器的低成本实现。
表7.1 PHY子层的RRC配置参数
| 参数 | 值 | 含义 |
| carrierFreq | [0 262143] | 表示NB-IoT载波频率的EARFCN。它可以用于a的DL或UL |
| carrierFreqOffset | v-10, v-9, v-8, v-7, v-6, v-5, v-4, v-3, v-2, v-1, v-0dot5, v0, v1, v2, v3, v4, v5, v6, v7, v8, v9
| 非锚定载波或锚定载波的UL。 |
| subframePattern10 | 10 bits | 将NB-IoT信道号偏移到EARFCN。它可以用于非锚载波的DL或UL或锚载波的UL。值v-10表示偏移-10 |
| subframePattern40 | 40 bits | 对于带内,独立和保护频带,下行链路子帧配置超过10 ms。仅用于非锚载波第一/最左边的比特表示无线帧中的子帧#0,其中SFN mod 10 = 0.值0表示子帧对于DL传输无效。值1表示子帧对DL传输有效 |
| indexToMidPRB | [-15 54] | 用于带内的下行链路子帧配置超过40ms。仅用于非锚载波第一/最左边的比特表示无线帧中的子帧#0,其中SFN mod 40 = 0.值0表示子帧对于DL传输无效。值1表示子帧对DL传输有效 |
| ack-NACK- NumRepetitions | r1, r2, r4, r8, r16, r32, r64, r128 | 指示用于NB-IoT的物理资源块(PRB)相对于可用PRB数量中间的索引。仅用于非锚定载体 |
| ack-NACK- NumRepetitions- Msg4 | r1, r2, r4, r8, r16, r32, r64, r128 | 指示上行链路ACK / NACK RU作为对NPDSCH的响应的重复次数。 r128表示重复128次 |
| twoHARQ-ProcessesConfig | True | 指示作为对NPDSCH Msg4的响应的每个NPRACH资源的上行链路ACK / NACK RU的重复次数 |
| eutraControlRegion- Size | n1, n2, n3 | 指示是否使用两个HARQ进程 |
| operationModeInfo | Inband-SamePCI, Inband- DifferentPCI, Guardband, Standalone | 以OFDM符号数表示带内操作模式的NPDCCH区域大小 |

图7.2:Δf= 15 KHz的下行链路帧结构和上行链路帧结构。

图7.3:Δf= 3.75 KHz的上行链路帧结构。
UE使用12个子载波,子载波带宽为15KHz(带宽为180KHz)在下行链路中工作,并且在上行链路中使用具有3:75或15KHz或者3,6的子载波带宽的单个子载波, 或12个副载波,子载波带宽为15KHz。
在每个时隙的频域中,每个NB-IoT载波只有一个资源块。 可以配置多个NB-IoT载波,如表3.31所示。
表7.2显示了NB-IoT用于带内模式的建议资源块分配,其中eNodeB每个载波仅使用一个资源块[29]。
7.3频道频段
NB-IoT设备使用特定频带和频率进行DL和UL传输。 NB-IoT设备使用的频段如表7.3所示[30,31]。
表7.2 NB-IoT物理资源块
| 带宽 | 3 MHz | 5 MHz | 10 MHz | 15 MHz | 20 MHz |
| 物理资源块索引 | 2, 12 | 2,7,17, 22 | 4,9,14,19, 30,35,40, 45 | 2, 7, 12, 17, 22, 27, 32, 42, 47, 52, 57, 62, 67, 72 | 4, 9, 14, 19,24,29, 34, 39, 44, 55, 60, 65, 70, 75, 80, 85, 90, 95 |
表7.3通道频带
| 频段 | 下行 | 上行 | 区域 | ||
| FlowDL (MHz) | FhighDL (MHz) | FlowUL (MHz) | FhighUL (MHz) | ||
| 1 | 2110 | 2170 | 1920 | 1980 | 欧洲,亚洲 |
| 2 | 1930 | 1990 | 1850 | 1910 | 美洲,亚洲 |
| 3 | 1805 | 1880 | 1710 | 1785 | 欧洲,亚洲,美洲,非洲 |
| 4 | 2110 | 2155 | 1710 | 1755 | 美洲 |
| 5 | 869 | 894 | 824 | 849 | 美洲,亚洲 |
| 8 | 925 | 960 | 880 | 915 | 欧洲,亚洲,非洲 |
| 11 | 1844.9 | 1879.9 | 1749.9 | 1784.9 | 日本 |
| 12 | 729 | 746 | 699 | 716 | 美国 |
| 13 | 746 | 756 | 777 | 787 | 美国 |
| 14 | 758 | 768 | 788 | 798 | 美国 |
| 17 | 734 | 746 | 704 | 716 | 美国 |
| 18 | 860 | 875 | 815 | 830 | 日本 |
| 19 | 875 | 890 | 830 | 845 | 日本 |
| 20 | 791 | 821 | 832 | 862 | 欧洲,非洲 |
| 21 | 1495.9 | 1510.9 | 1447.9 | 1462.9 | 欧洲 |
| 25 | 1930 | 1995 | 1850 | 1915 | 美洲 |
| 26 | 859 | 894 | 814 | 849 | 美洲,日本 |
| 28 | 758 | 803 | 703 | 748 | 美洲,亚太地区 |
| 31 | 462.5 | 467.5 | 452.5 | 457.5 | 美洲 |
| 66 | 2110 | 2200 | 1710 | 1780 | 美洲 |
| 70 | 1995 | 2020 | 1695 | 1710 | 美洲 |
| 71 | 461 | 466 | 451 | 456 | 美国 |
| 72 | 460 | 465 | 450 | 455 | 欧洲,中东,非洲 |
| 73 | 1475 | 1518 | 1427 | 1470 | 亚洲和太平洋 |
针对NB-IoT的频带是仅用于FDD双工模式的成对频带。 NB-IoT仅支持FDD双工模式,而不支持TDD。
7.4载波频率
E-UTRA绝对射频信道号(EARFCN)指定NB-IoT设备使用的载波频率。 它由下式给出:
FDL = F low / DL + 0:1 x(NDL -1N Off / DL)+ 0:0025 x(2 x MDL + 1);
其中FDL是下行链路载波频率。 表7.3给出了F low / DL。
NDL是下行链路EARFCN,N Off / DL是偏移量。 NDL和N Off / DL都如表7.4所示。 MDL是下行EARFCN的偏移通道号,范围为{-10,-1,-1,-1,-1,-1,-1,-1,-1,-1,-1.5,0,1,2,3,4,5,6,7,8,9}。
上行链路的EARFCN由下式给出:
FUL = F low / UL + 0:1 x(NUL -1N Off / UL)+ 0:0025 x(2 x MUL);
表7.4中心频点
| 频段 | 下行 | 上行 | ||
| N Off/DL | Range of NDL | N Off/UL | Range of NUL | |
| 1 | 0 | 0-599 | 18000 | 18000-18599 |
| 2 | 600 | 600-1199 | 18600 | 18600-19199 |
| 3 | 1200 | 1200-1949 | 19200 | 19200-19949 |
| 4 | 1950 | 1950-2399 | 19950 | 19950-20399 |
| 5 | 2400 | 2400-2649 | 20400 | 20400-20649 |
| 8 | 3450 | 3450-3799 | 21450 | 21450-21799 |
| 11 | 4750 | 4750-4949 | 22750 | 22750-22949 |
| 12 | 5010 | 5010-5179 | 23010 | 23010-23179 |
| 13 | 5180 | 5180-5279 | 23180 | 23180-23279 |
| 14 | 5280 | 5280-5379 | 23280 | 23280-23379 |
| 17 | 5730 | 5730-5849 | 23730 | 23730-23849 |
| 18 | 5850 | 5850-5999 | 23850 | 23850-23999 |
| 19 | 6000 | 6000-6149 | 24000 | 24000-24149 |
| 20 | 6150 | 6150-6449 | 24150 | 24150-24449 |
| 21 | 6450 | 6450-6599 | 24450 | 24450-24599 |
| 25 | 8040 | 8040-8689 | 26040 | 26040-26689 |
| 26 | 8690 | 8690-9039 | 26690 | 26690-27039 |
| 28 | 9210 | 9210-9659 | 27210 | 27210-27659 |
| 31 | 9870 | 9870-9919 | 27760 | 27760-27809 |
| 66 | 66436 | 66436-67335 | 131972 | 131972-132671 |
| 70 | 68336 | 68336-68585 | 132972 | 132972-133121 |
| 71 | 68586 | 68586-68935 | 133122 | 133122-133471 |
| 72 | 68936 | 68936-68985 | 133472 | 133472-133521 |
| 73 | 68986 | 68986-69035 | 133522 | 133522-133571 |
其中FUL是上行链路载波频率。表7.3给出了F low / UL。 NUL是上行链路EARFCN,N Off / UL是偏移量。 NUL和N Off / UL均如表7.4所示。 MUL是上行EARFCN的偏移通道号,范围为{-10,-1,-1,-1,-1,-1,-1,-1,-1,-1,
0,1,2,3,4,5,6,7,8,9}。
NDL,NUL,MDL和MUL被通告给UE(carrierFreq和carrierFreqOffset参数),如表7.1所示。
对于独立操作,仅适用MDL = -1:5。 MDL = -1:5不适用于带内和保护频带操作。对于包括用于带内和保护带操作的NPSS / NSSS的载波,MDL选自{-1,-1,0,1}。
7.5下行链路和上行链路信道频率分离
下行链路(Rx)和上行链路频率(Tx)之间存在分离,如表7.5所示。
7.6载波频率栅格
载波栅格是指载波中心频率之间的频率间隔。对于每个支持的频段,NB-IoT载波可以存在于每个100 KHz载波栅格或载波分离上。这可以表示为n×100KHz,其中n是整数。如果NB-IoT UE处于空闲模式并且被打开,则它可以在假设光栅为100KHz的情况下搜索DL频率。
7.7信道和传输带宽
表7.5 Tx和Rx频率分离
| 频段 | DL和UL频率之间的分离 |
| 1 | 190 |
| 2 | 80 |
| 3 | 95 |
| 4 | 400 |
| 5 | 45 |
| 8 | 45 |
| 11 | 48 |
| 12 | 30 |
| 13 | -11 |
| 14 | -10 |
| 17 | 30 |
| 18 | 45 |
| 19 | 45 |
| 20 | -11 |
| 21 | 48 |
| 25 | 80 |
| 26 | 45 |
| 28 | 55 |
| 31 | 10 |
| 66 | 400 |
| 70 | 300 |
| 71 | -16 |
| 72 | 10 |
| 73 | 10 |

图7.4:独立操作的信道带宽和传输带宽。
表7.6独立操作的通道带宽
| 特性 | 值 |
| 信道带宽(KHz) | 200 |
| 下行资源块数(NRB) | 1 |
| Δf= 15KHz的上行链路子载波的数量 | 12 |
| Δf= 3:75 KHz的上行链路子载波的数量 | 48 |
NB-IoT UE根据操作模式(独立,带内或保护频带)使用特定信道或传输带宽[31]。对于NB-IoT独立操作,信道和传输带宽分别为200KHz和180KHz。这在图7.4和表7.6中说明,其中只有一个资源块可用于NB-IoT传输[32]。
200KHz资源块信道带宽的频域波形如图7.5所示。
对于带内操作,信道带宽范围为3至20 MHz,如表7.7所示。传输带宽为180 KHz。
信道和传输带宽之间的关系如图7.6所示,其中只有一个资源块用于传输。
对于保护频带操作,它使用与图7.7相同的信道带宽,不同之处在于此操作模式不使用3 MHz的信道带宽。 传输带宽为180 KHz。 信道和传输带宽之间的关系如图7.7所示,其中只有一个资源块用于传输。
7.8物理信道的映射
MAC子层处的传输信道被映射到PHY子层处的物理信道。 图7.8显示了传输信道到/从物理信道的映射。
7.9物理小区ID(PHYID)小区
物理小区ID是UE在小区搜索期间必须获得的第一个参数,以便能够解码或编码下行链路和上行链路物理信道。
如果RRC将操作模式信息指示为用于小区的 inband-SamePCI“,则UE假设物理层小区ID与用于小区的窄带物理层小区ID相同。

图7.5:200 KHz信道带宽的频域。
表7.7带内和保护频带操作的信道带宽
| 信道带宽(MHz) | 3 5 10 15 20 |
| 传输带宽(NRB) | 15 25 50 75 100 |

图7.6:带内操作的信道带宽和传输带宽。

图7.7:保护频带操作的信道带宽和传输带宽。

图7.8:下行链路和上行链路的传输信道和物理信道之间的映射。
7.10下行链路物理信道和结构
以下是下行链路信道[33,34]:
窄带物理下行链路共享信道(NPDSCH)。
窄带物理广播信道(NPBCH)。
窄带物理下行链路控制信道(NPDCCH)。
此外,还有以下信号:
窄带参考信号(NRS)。
窄带同步信号。
窄带定位参考信号(NPRS)。
7.10.1下行链路传输方案OFDM
下行链路传输方案基于使用循环前缀的传统OFDM。仅支持Δf= 15KHz的OFDM子载波间隔。在频域中,一个时隙期间的12个连续子载波对应于一个下行链路资源块。在时域中,资源块的数量是每个时隙的一个且仅一个资源块,其被分配给NB-IoT UE。在15KHz子载波间隔的情况下,存在两个循环前缀长度,分别对应于每个时隙的七个和六个OFDM符号。
正常循环前缀:TCP = 5:2 us(OFDM符号#0),TCP = 4.7 us(OFDM符号#1至#6)。
扩展循环前缀:TCP e = 16:67 us(OFDM符号#0到OFDM符号#5)。
图7.9显示了由循环前缀组成的OFDM符号,
TCP和有用符号持续时间Tu,其中Tu = 1 =Δf。
7.10.2资源网格
下行链路资源网格由时域中的7或6个OFDM符号和频域中的12个子载波组成。如图7.10所示,其参数总结在表7.8中。每个资源元素表示单个子载波。

图7.9:OFDM符号。

图7.10:下行链路资源网格。
表7.8下行插槽
| 循环前缀 | NOFDM | 子载波间隔 | Nsc |
| 正常 | 7 | Δf = 15 KHz | 12 |
| 延长 | 6 | Δf = 15 KHz |
7.10.3主同步信号和辅助同步信号
窄带主同步信号(NPSS)和窄带辅同步信号(NSSS)是UE要获取的第一信号。当UE通电或插入USIM时,UE开始扫描可用于填充合适小区的所有RF信道。 UE获取NPSS和NSSS以便获得物理小区ID,PHY ID,并且能够解码和编码下行链路和上行链路CELL物理信道。可能有504个物理小区ID,UE使用NPSS / NSSS来确定物理小区ID。 eNodeB在每个无线电帧中在子帧#5中发送NPSS,并且位于OFDM符号#3中直到子帧的结束并且从子载波#0开始到子载波#10。 NSSS在子帧#9中在满足nfmod 2 = 0的无线电帧中发送。它也位于OFDM符号#3之前直到时隙的末尾并且使用所有12个分配的子载波。

图7.11:NSSS和NPSS资源块。
图7.11显示了用于NPSS和NSSS的资源块和子载波。前3个OFDM符号不被NPSS和NSSS占用,因为它们可以携带NPDCCH用于带内模式。这些3个OFDM符号用作保护时间,因为当UE尝试获取NPSS / NSSS时,它不知道还使用了什么操作模式。 NPSS和NSSS仅在资源块中传输,如表7.2所示。
7.10.4参考和细胞特异性参考信号
NRS由UE接收并且可以用于下行链路功率控制或信道估计。
如果UE尚未获取operationModeInfo,
NRS在子帧#0和#4以及不包含NSSS的子帧#9中发送。
如果UE获取了指示保护带或独立的operationModeInfo,
在不包含NSSS的子帧#0,#1,#3,#4,子帧#9中以及在为NB-IoT分配的所有DL子帧中发送NRS。
如果UE获取了指示带内的operationModeInfo,
在不包含NSSS的子帧#0,#4,子帧#9中以及在为NB-IoT分配的所有DL子帧中发送NRS。
NRS不在包含NPSS或NSSS的子帧中发送。图7.12显示了当使用一个或两个天线端口时在分配的子载波和子帧上发送的NRS。
小区特定参考(CSR)信号在NRS可用的DL子帧中发送,并且使用NRS使用的相同数量的天线端口(一个或两个天线端口)。分配给CSR的子载波另外在频率范围内通过PHY ID / CELL mod 6循环移位。如果子帧和分配的子载波用于NPSS / NSSS,则CRS在那些子帧中对NPSS / NSSS进行穿孔。单个和两个天线端口的CRS如图7.13所示。

图7.12:一个或两个天线端口上的NRS。

图7.13:一个或两个天线端口上的CRS。
7.10.5 下行功率控制
eNodeB控制并计算用于下行链路子载波和子帧的功率。 DL传输功率是指NRS传输功率。 NRS传输功率的值被发送到UE,UE使用它来计算和估计路径损耗。
NRS传输功率,NRS每资源单元能量(EPRE)在所有DL子载波和子帧上是恒定的。 NRS EPRE被计算为携带NRS的所有子载波的功率贡献(以[W]为单位)的线性平均值。对于NPBCH,NPDCCH和NPDSCH,发射功率取决于传输方案。如果仅应用一个天线端口,则功率与NRS相同;否则,减少3dB。
如果使用带内操作模式且samePCI值设置为true,则应用特殊情况。在这种情况下,eNodeB可以另外用信号通知NRS功率与CRS功率的比率,这使得UE能够使用CRS进行信道估计。
7.10.6调制方案
每个物理下行链路信道使用调制方案。表7.9总结了这些方案。
7.10.7 NPBCH(窄带物理广播信道)
这是用于从eNodeB接收广播控制PDU MIB-NB的物理信道。 MIB-NB的大小是34比特,并且其传输块在640ms的每个传输时间间隔(TTI)中传输。 PBCH的循环冗余校验(CRC)根据是否使用1或2个天线端口,如表7.10所示,使用16位CRC掩码进行加扰。
在将CRC添加到传输块,信道编码和速率匹配之后,它产生多个1600位。 由于QPSK具有2比特星座大小,因此导致800个符号被发送到UE。 在实现nf mod 64 = 0的无线电帧中开始的64个连续无线电帧期间,在子帧#0中发送NPBCH。如表7.9中那样使用调制。
表7.9用于物理下行链路信道的调制方案
| 物理信道 | 调制方案 |
| NPBCH | QPSK |
| NPDSCH | QPSK |
| NPDCCH | QPSK |
表7.10 NPBCH CRC掩码
| 天线端口数 | CRC掩码 |
| 1 | 0, 0, 0, 0, 0, 0, 0, 0, 0, 0, 0, 0, 0, 0, 0, 0 |
| 2 | 1, 1, 1, 1, 1, 1, 1, 1, 1, 1, 1, 1, 1, 1, 1, 1 |

图7.14:子帧#0上的NPBCH以及单个或两个天线端口的NRS和CRS。
800个符号被分成8个块,每个块具有100个符号。 64个连续的无线电帧被分组为8个无线电组,其中每个组具有8个无线电帧。在每个无线电组中,第一无线电帧中的子帧#0用于发送一个块,并且相同无线电组中的后续子帧(子帧#0)包含相同块的重复。
图7.14显示了分配给NPBCH的已分配子载波。在子帧#0中,存在NRS和CSR。另外,前3个OFDM符号不被NPBCH占用。可以使用单个或两个天线端口传输NPBCH。
7.10.8 NPDSCH(窄带物理下行共享信道)

图7.15:NPDSCH物理层处理。
NPDSCH用于承载DL-SCH和PCH的流量。 NPDSCH每个子帧仅为UE承载一个资源块。 NPDSCH携带包含一个完整MAC PDU的传输块。仅支持B型半双工FDD操作。仅被指定为NB-IoT下行链路子帧的子帧包含为UE分配的资源块。 UE假定子帧是NB-IoT子帧,如果:
UE确定子帧不包含NPSS / NSSS / NPBCH / NB-SIB1传输,以及
在UE获得SystemInformationBlockType1-NB之后,子帧被配置为NB-IoT DL子帧。
NPDSCH执行以下操作,如图7.15所示:
CRC附件。
信道编码:卷积编码。
速率匹配。
扰。
调制。
层映射和预编码。
映射到分配的资源和天线端口。
7.10.8.1 CRC计算
CRC为在下行链路上发送的传输块提供错误检测能力。如果传输块具有S比特,则对应于CRC的附加P比特被连接到传输块比特。使用生成多项式G24(X)计算奇偶校验位并将其附加到传输块
G24(X)= X 24 + X 23 + X 18 + X 17 + X 14 + X 11 + X 10 + X 7 + X 6 + X 5 + X4 + X 3 + X + 1:
包括传输块比特和CRC比特的比特表示为
B0; b1; b2; ::: ;; bB-1,其中B = S + P.

图7.16:速率为1/3的卷积编码器。
7.10.8.2卷积编码
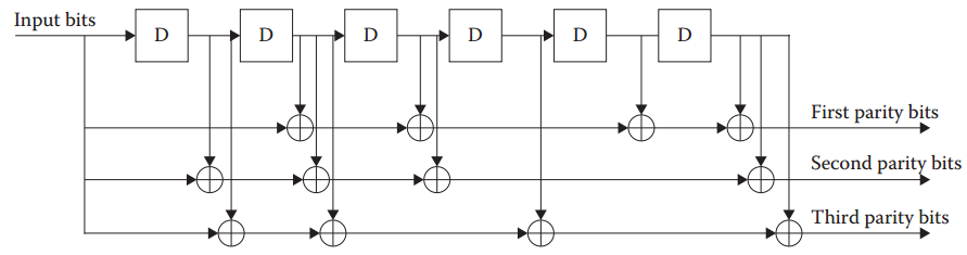
CRC附件的输出是一个由c0表示的代码块; c1; c2; ::: ;; c K -1,其中K是代码块的位数。由于输入位的数量小于代码块,因此只有一个代码块,Z = 6144.代码块是卷积编码的。使用具有约束长度7和编码率1/3的咬尾卷积编码器,如图7.16所示。
NPDSCH使用咬尾卷积编码而不是Turbo编码(如在传统LTETM中),因为这导致UE侧的较低信道编码复杂度。
卷积编码器的输出是由pi / 0表示的奇偶校验位; pi / 1; pi / 2; ::: ;; pi / K -1,其中i = 0; 1; 2和K = B.
7.10.8.3速率匹配
卷积编码器的输出作为图7.17所示速率匹配块的输入提供。三个信息比特流,p0 / k; p1 / k;从卷积编码器获得的p2 / k作为输入提供给每个子块交织器,它们分别交织它们。位选择选择长度等于E的输出位。速率匹配的输出序列用e0表示; e1; e2; ::: ;; e E -1,其中E是速率匹配位的数量。为了保持NB-IoT UE复杂度低,仅为NPDSCH指定单个冗余版本(RV)。
在速率匹配之后对应于一个传输块的该编码比特序列被称为码字。
7.10.8.4加扰
位级扰码器的输入是e0; e1; e2; ::: ;; e E -1,其中E是要发送的比特数,在调制之前被加扰。

图7.17:速率为1/3的卷积编码器的速率匹配。
扰码器输出为h0; h1; h2; ::: ;; h E -1在哪里
hi =(ei + scri)mod 2:
scri是恒定加扰序列,其取决于C-RNTI和物理小区ID(它是UE特定的加扰序列)。
7.10.8.5调制
加扰器的输出,h0; h1; h2; ::: ;;使用QPSK调制h E -1,得到一个复调制符号块,
m0; m 1; m 2; ::: ;; m Nsym -1,其中N sym是复调制符号的数量。用于NPDSCH的调制方案总结在表7.9中。
7.10.8.6层映射
调制符号被映射到一个或两个层中。复杂-
有价值的调制符号m0; m1; m2; ::: ;; m N sym -1被映射成最多两个层,x0 / i和x1 / i,其中i = 0; 1; 2; ::: ;; Nlayer / symb -11和N layer / symb是每层的调制符号数。
如果在下行链路上使用单个天线端口,则使用单个层,并且映射被视为
x0 / i = mi; Vi = 0; 1; 2; ::: ;; Nlayer / isymb -11;
其中N layer / symb = Nsymb。
如果使用两个天线端口,则层数等于2,映射定义为:
x0 / i = m2i;
x1 / i = m2i + 1; 8i = 0; 1; 2; ::: ;; Nlayer / symb -11; (7.1)
其中N layer / symb = Nsymb = 2。
7.10.8.7预编码
层映射的输出,x0 / i和x1 / i,其中i = 0; 1; 2; ::: ;;
N层/ symb -11被预编码成向量,y0 / i和y1 / i,其中i = 0; 1; 2; ::: ;;
Np / symb -11和p∈{0; 1}。预编码器输出被映射到两个天线端口中的每一个上的资源,其中yp / i表示天线端口p的信号。 Np / sym是每个天线端口的预编码符号的数量。如果使用单个天线端口,p = 0,则预编码通过以下方式进行:
y0 / i = x0 / i; 8i = 0; 1; 2; ::: ;; Nlayer / symb -1:
如果使用两个天线端口(用于发射分集),则输出基于空频块编码(SFBC)。 SFBC意味着两个连续调制符号y0 / 2i和y0 / 2i + 1被直接映射到第一天线端口上的频率相邻资源元素。在第二天线端口上,符号-y + 0 / 2i + 1和y-1被映射到相应的资源元素(表示复共轭)。对于两个天线端口,p∈{0;如图1所示,预编码操作的输出y0 / i和y1 / i可以被定义为

其中Np / symb = 2N layer / symb。
图7.18显示了两层上的调制符号到两个天线端口的映射,用于发射分集。
7.10.8.8映射到物理资源
来自预编码器的输出y0 / i和y1 / i被映射到从下行链路子帧的第一时隙开始然后第二时隙开始的资源块的子载波。每个子帧包含最多168个子载波(14个OFDM符号中的12个子载波)。一些子载波用于NPSS / NSSS,NPDBCH,NPDCCH或NRS,不能用于NPDSCH。

图7.18:发射分集。
子帧的重复是用于多次重复相同子帧的技术。重复会增加覆盖范围(最高20 dB),所有重复次数只会被确认一次。对于每个子帧,在继续将y0 / i和yi / 1映射到另一个子帧中的其他子载波之前,重复多次。
7.10.8.9 NPDSCH(窄带物理下行共享信道)位置和映射
NPDSCH可以承载广播系统信息(SIB)或单播流量。对于单播流量,NPDSCH以OFDM符号lDataStart开始,位于子帧中的第一个时隙,其中lDataStart等于eutraControlRegionSize,如表7.1所示,否则由RRC提供,lDataStart = 0.如果NPDSCH携带SIB1-NB,则为lDataStart = 3表示带内操作,否则lDataStart = 0表示保护带或独立操作。
如果NB-IoT是带内操作,则起始OFDM符号避免与LTE PDCCH信道冲突。但是,对于保护频带和独立操作模式,NPDSCH的起始始终从OFDM符号#0开始,这为NPDSCH提供了更多的资源块空间。
图7.19示出了用于NPDSCH的分配的子载波和OFDM符号,假设带内操作并且lDataStart被设置为等于OFDM符号#2。 NPDSCH不在子帧#0中发送,因为它用于NPBCH。 NPDSCH仅在指定用于NB-IoT传输的DL子帧中传输。

图7.19:带有NRS和CRS的NPDSCH,用于带内操作的单个或两个天线端口。
7.10.9 NPDCCH(物理下行控制信道)
NPDCCH载有控制信息,不携带任何控制平面或数据平面PDU。在NPDCCH上指示DL和UL指配和授权。
NPDCCH在子帧和重复中支持1或2个连续窄带控制信道单元(NCCE)的聚合。 NCCE占用子帧中的6个连续子载波,其中NCCE 0占用子载波0到5,NCCE 1占用子载波6到11.有两种NPDCCH格式,如表7.11所示。
表7.11 NPDCCH格式
| NPDCCH格式 | NCCEs数量 |
| 0 | 1 |
| 1 | 2 |

图7.20:通过RNTI加扰进行NPDCCH编码。
NPDCCH支持C-RNTI,临时C-RNTI,P-RNTI,RA-RNTI,SC-RNTI和G-RNTI。通过RNTI对计算的CRC进行加扰,在CRC中隐式编码RNTI。图7.20说明了如何使用RNTI对NPDCCH进行加扰。
可以在子帧中发送一个或两个NPDCCH。在多载波的情况下,来自每个载波的多个NPDCCH被复用在一起。 UE监视多个NPDCCH。每个NPDCCH都有自己的x-RNTI集。
当UE检测到具有在针对UE的子帧n中结束的下行链路控制信息(DCI)格式N1,N2的NPDCCH时,其在n + 5个DL子帧中开始在多个连续的NB-IoT DL子帧中对应的NPDSCH传输进行解码。 (S)。
NPDCCH执行以下和相同的块,如图7.15所示。
CRC插入:16位CRC。
信道编码:尾部咬合卷积编码。
速率匹配。
频道交错。
扰。
调制。
层映射和预编码。
映射到分配的资源和天线端口。
7.10.9.1 CRC计算
CRC为NPDCCH信息提供错误检测能力,并且还由RNTI加扰。该块的输入是大小为S的多个有效负载位。奇偶校验位与有效负载位连接,并具有P位的大小。使用以下16位循环生成多项式:
G16(X)= X 16 + X 12 + X 5 + 1:
一旦计算出CRC位,输出序列用b0表示; b1; b2; ::: ;; b B -1,其中B = S + P.
如图7.20所示,CRC奇偶校验位用相应的16位RNTI加扰,xrnti; 0; xrnti; 1; xrnti; 2; ::: ;; xrnti; 15,形成位序列。 ck和bk之间的关系是:
ck = bk Vk = 0; 1; 2; ; S-11
ck =(bk + xrnti; k -s)mod 2 Vk = S; S + 1; S + 2; :::; S + 15:(7.2)
7.10.9.2卷积编码
CRC块的输出采用与第7.10.8.2节相同的方式进行卷积编码。
7.10.9.3速率匹配
这与NPDSCH的7.10.8.3节中使用的块相同。只有一个代码块,没有RV功能。
7.10.9.4加扰
这与NPDSCH的7.10.8.4节中使用的块相同。提供加扰的比特作为调制器的输入。
7.10.9.5调制
对扰码器的输出进行调制,得到一个复值调制符号块m0; m1; m2; ::: ;; m N sym -1,其中Nsym是调制符号的数量。根据表7.9进行调制。
7.10.9.6层映射
与第7.10.8.6节中用于NPDSCH的相同。
7.10.9.7预编码
与第7.10.8.7节中用于NPDSCH的相同。
7.10.9.8映射到资源元素
复值符号,m0; m1; m2; ::: ;; m N sym -1仅在指定用于NB-IoT的下行链路子帧中映射到NCCE中的子载波。根据NPDCCH位置将调制符号映射到OFDM符号,如参数1NP DCCHStart所示。
7.10.9.9 NPDCCH(物理下行控制信道)位置和映射
NPDCCH始终位于DL子帧的第一个时隙中。 NPDCCH所在的起始OFDM符号lNP DCCHStart由下式给出:
如果operation-ModeInfo指示带内操作,则lNP DCCHStart等于eutraControlRegionSize。
如果operationModeInfo指示保护带或独立操作,则lNP DCCHStart等于零。
如果NB-IoT是带内操作,则起始OFDM符号避免与LTE PDCCH信道冲突。但是,对于保护频带和独立操作模式,NPDCCH的起始始终从0开始,这为NPDCCH提供了更多的资源块空间。
图7.21示出了用于NPDCCH的分配的子载波和OFDM符号,假设带内操作并且lNP DCCHStart被设置为等于OFDM符号#2。 NPDCCH不在子帧#0中发送,因为它用于NPBCH。 NPDCCH仅在指定用于NB-IoT传输的DL子帧中传输。
两个NCCE(NCCE0和NCCE1)使用图7.21中所示的NPDCCH分配资源。如果使用NPDCCH格式0,则需要一个NCCE。如果使用NPDCCH格式1,则需要两个NCCE。
7.10.9.10 DCI处理的RRC信息
表7.1示出了提供给PHY层的RRC层配置参数,以帮助DCI的编码和解码。两个参数operationModeInfo和eutraControlRegionSize是用于解码NPDCCH的必要信息。
7.10.9.11 DCI格式N0
该格式用于指示NPUSCH中针对单个上行链路载波的上行链路授权。 DCI格式N0携带的信息如表7.12所示。 DCI格式N0的总大小是24位[35]。

图7.21:带有NRS和CRS的NPDCCH,用于带内操作的单个或两个天线端口。
当UE检测到在DL子帧n中结束的格式N0时,使用格式1的NPUSCH在第(n + k)个DL子帧之后的UL时隙中开始,其中8 <= k <= 64。在第(n + k)个DL子帧之后开始的N个连续UL时隙中也重复NPUSCH。换一种说法:
NPUSCH使用子载波间隔Δf= 3:75KHz或Δf= 15KHz,其由UE在接收如表6.4和6.5中的随机接入响应(RAR)授权消息时确定。
在多个连续的UL时隙中重复NPUSCH,其中重复次数是N = NRep×NRU×N UL /时隙。根据表7.12,7.14和7.13,NRep和NRU分别根据重复次数,IRep和资源分配,IRU,字段确定。 N UL / slot是RU的UL时隙数,如表7.29所示。
NPDCCH传输在子帧n中结束。 NPUSCH传输可以延迟多个子帧k。也就是说,在子帧n结束之后,NPUSCH子帧在子帧n之后的k个子帧开始并且重复N个连续子帧。 k由调度延迟字段IDelay确定,如表7.12和7.15所示。
为了确定UL调制阶数和传输块大小,UE执行以下操作:
每个RU资源单元(RU)具有多个连续分配的子载波nsc,由子载波指示Isc确定,如表7.12所示。对于Δf= 15KHz,根据表7.16确定nsc。对于子载波间隔,Δf= 3:75KHz,nsc = Isc其中(0 <= Isc <48)。
表7.12 DCI格式N0信息
| 信息 | 大小(Bits) | 含义 |
| 信号旗 | 1 | 如果设置为1,则表示格式为N1,如果设置为0,则表示格式为N0 |
| 子载波指示(Isc) | 6 | 确定分配的UL子载波,nsc |
| 资源分配(IRU) | 3 | 确定上行链路资源单元的数量NRU |
| 调度延迟(IDelay) | 2 | 从NPDCCH子帧的末尾到NPUSCH的第一UL时隙经过的子帧的数量 |
| 调制和编码方案(IMCS) | 4 | 确定调制方案和传输块大小 |
| 冗余版本(RV) | 1 | 表示上行链路传输块的冗余版本 |
| 重复次数(IRep) | 3 | 确定NRep |
| 新数据指标 | 1 | 指示传输块是新传输块还是重传传输块。 该信息被提供给MAC子层 |
| DCI子帧重复次数 | 2 | 确定DCI(NPDCCH)重复的次数 |
| HARQ进程号 | 1 | 拒绝HARQ进程ID,并且仅在配置了两个HARQ进程时才出现 |
表7.13 DCI格式N0的重复次数IRep
| 重复次数(IRep) | 重复次数(NRep) |
| 0 | 1 |
| 1 | 2 |
| 2 | 4 |
| 3 | 8 |
| 4 | 16 |
| 5 | 32 |
| 6 | 64 |
| 7 | 128 |
表7.14 DCI格式N0的资源分配IRU
| 资源分配(IRU) | RU 数(NRU) |
| 0 | 1 |
| 1 | 2 |
| 2 | 3 |
| 3 | 4 |
| 4 | 5 |
| 5 | 6 |
| 6 | 8 |
| 7 | 10 |
表7.15 DCI格式N0的调度延迟IDelay
| 调度延迟(IDelay) | 子帧数(k) |
| 0 | 8 |
| 1 | 16 |
| 2 | 32 |
| 3 | 64 |
表7.16副载波指示,Isc,DCI格式N0,副载波间隔Δf= 15 KHz
| 子载波指示(Isc) | 分配子载波组(nsc) | 子载波数(N UL/sc) |
| 0-11 | Isc | 1 |
| 12-15 | 3(Isc -112) + {0; 1; 2} | 3 |
| 16-17 | 6(Isc -116) + {0; 1; 2; 3; 4; 5} | 6 |
| 18 | {0; 1; 2; 3; 4; 5; 6; 7; 8; 9; 10; 11} | 12 |
根据nsc计算RU中分配的子载波的总数,并表示为N RU / sc
如果N RU / sc> 1,则星座大小为Qm = 2且IT BS = IMCS。
如果N RU / sc = 1,则根据表7.17,使用IMCS来确定星座大小和传输块大小索引IT BS。
使用传输块大小索引,IT BS和资源分配IRU确定传输块大小,如表7.18所示。
在N = NRep×NRU×N UL /时隙时发送和重复UL传输块。在一组连续时隙中,根据表7.12中的RV字段发送传输块的块的不同RV。
表7.17当N RU / sc = 1时,DCI格式N0的IMCS和IT BS
| 调制和编码方案 (IMCS) | 星座大小 (Qm) | TBS 指数(IT BS) |
| 0 | 1 | 0 |
| 1 | 1 | 2 |
| 2 | 2 | 1 |
| 3 | 2 | 3 |
| 4 | 2 | 4 |
| 5 | 2 | 5 |
| 6 | 2 | 6 |
| 7 | 2 | 7 |
| 8 | 2 | 8 |
| 9 | 2 | 9 |
| 10 | 2 | 10 |
表7.18 NPUSCH的传输块大小(位)
| TBS指数(IT BS) | 资源分配(IRU) | |||||||
|
| 0 | 1 | 2 | 3 | 4 | 5 | 6 | 7 |
| 0 | 16 | 32 | 56 | 88 | 120 | 152 | 208 | 256 |
| 1 | 24 | 56 | 88 | 144 | 176 | 208 | 256 | 344 |
| 2 | 32 | 72 | 144 | 176 | 208 | 256 | 328 | 424 |
| 3 | 40 | 104 | 176 | 208 | 256 | 328 | 440 | 568 |
| 4 | 56 | 120 | 208 | 256 | 328 | 408 | 552 | 680 |
| 5 | 72 | 144 | 224 | 328 | 424 | 504 | 680 | 872 |
| 6 | 88 | 176 | 256 | 392 | 504 | 600 | 808 | 1000 |
| 7 | 104 | 224 | 328 | 472 | 584 | 712 | 1000 | 1224 |
| 8 | 120 | 256 | 392 | 536 | 680 | 808 | 1096 | 1384 |
| 9 | 136 | 296 | 456 | 616 | 776 | 936 | 1256 | 1544 |
| 10 | 144 | 328 | 504 | 680 | 872 | 1000 | 1384 | 1736 |
| 11 | 176 | 376 | 584 | 776 | 1000 | 1192 | 1608 | 2024 |
| 12 | 208 | 440 | 680 | 1000 | 1128 | 1352 | 1800 | 2280 |
| 13 | 224 | 488 | 744 | 1128 | 1256 | 1544 | 2024 | 2536 |
用于UL传输的相应ACK / NACK响应由新数据指示符(NDI)字段隐含地用信号通知。如果切换NDI,则表示先前UL传输的ACK。
7.10.9.12 DCI格式N0示例
为了提供NB-IoT设备如何解码DCI格式N0的数值示例,请考虑表7.19。
表7.19 DCI格式N0字段
| 字段 | 大小(Bits) | 值 |
| 标志 | 1 | 0 |
| 子载波指示(Isc) | 6 | 12 |
| 资源分配(IRU) | 3 | 1 |
| 调度延迟(IDelay) | 2 | 1 |
| 调制和编码方案(IMCS) | 4 | 1 |
| 冗余版本(RV) | 1 | 0 |
| 重复次数(IRep) | 3 | 1 |
表7.19中收到的DCI信息表明如下:
UE接收随机接入响应消息(RAR),如表6.4所示,指示子载波间隔Δf= 15KHz。
标志设置为0表示这是DCI格式N0。
子载波指示Isc设置为12,表示分配的子载波集合为f0,1,2g,如表7.16所示。
资源分配IRU设置为1,表示NRU为2,如表7.14所示。
调度延迟IDelay为1表示在NPDCCH在DL子帧n中结束之后,NPUSCH子帧在DL子帧n之后开始k = 16DL子帧并且重复N个连续子帧,如表7.12和7.15中所示。
调制和编码方案,IMCS,值为1,表示IMCS = IT BS为N RU / SC> 1。
重复次数IRep设置为2,表示NRep为4,如表7.13所示。
从上面,UE推断出以下内容:
nsc是一组分配的载波f0,1,2g,并且RU中分配的子载波的总数N RU / sc是3.根据表7.29,N UL / Slots是8。
由于N RU / sc = 3> 1,QPSK的星座大小为Qm = 2。
由于IT BS = 1且IRU = 1,传输块大小为56位,如表7.18所示。
7.10.9.13 DCI格式N1
该格式用于指示NPDSCH中针对单个下行链路载波的下行链路授权。它还用于指示由NPDCCH命令(例如,由eNodeB触发)触发的随机接入过程或用于SC-MCCH改变的通知。使用C-RNTI,临时C-RNTI,RA-RNTI,SI-RNTI或G-RNTI对该格式的CRC进行加扰。 DCI格式N1中携带的信息如表7.20所示。 DCI格式N1的最大总大小是24位。
如果NPDCCH顺序指示符被设置为1,则仅使用NPRACH重复的起始数,IRep,NPRACH的子载波指示,Isc和NPRACH的载波指示,并且所有其他剩余信息被设置为零。当NPDCCH顺序指示符被设置为1时,UE在由NPRACH的载波指示所指示的非锚定载波上发送随机接入前导码,并且在映射到具有前导码重复次数IRACH的NRACH资源的覆盖增强级别上发送随机接入前导码。如果载波指示字段为零,则UE在锚载波上发送随机接入前导码。使用随机接入前导码,Δf= 3:75KHz,并且要使用的随机接入前导码由子载波指示字段Isc指示,其中0 <= Isc <48。
NPDSCH位于被指定为NB-IoT DL子帧的DL子帧中。这些子帧通过SIB1-NB或RRConnectionSetup PDU在subframePattern10或subframePattern40中向UE通告,如表7.1所示,不包括SIB1-NB,NPBCH,NPSS或NSSS使用的那些帧。
NPDSCH传输可以被延迟多个子帧k,其中0 <= k <128。即,在子帧n + 5之后,NPDSCH子帧在子帧n +5之后开始k个子帧并且重复N个连续的子帧。当UE检测到在子帧n中结束的格式N1或N2时,NPDSCH在子帧n + 5 + k中开始。 NPDSCH也在从子帧n + 5 + k开始的N个连续子帧中重复。 k由调度延迟字段IDelay确定,如表7.20和7.21所示。
对于DCI格式N2,k = 0。换一种说法:
NPDCCH传输在子帧n中结束。
在多个连续子帧中重复NPDSCH,其中传输块及其重复在N = NRep×NSF上扩展(两者都根据表7.20,7.22和7.23确定)。
NPDSCH的调制方案是QPSK(Qm = 2)。通过设置IT BS = IMCS,根据调制和编码方案IMCS确定传输块大小。 IT BS和资源分配字段ISF都确定传输块大小,如表7.24所示。传输块分布在NSF子帧上,每个传输块重复NRep子帧。
表7.20 DCI格式N1字段
| 域 | 大小(Bits) | 含义 |
| 信号旗 | 1 | 如果设置为1,则表示格式为N1,如果设置为0,则表示格式为N0 |
| NPDCCH订单指标 | 1 | 如果设置为1,则表示由NPDCCH命令启动的随机访问过程 |
| SC-MCCH改变通知 | 2 | 表示SC-MCCH的变化 |
| NPRACH重复的起始数(IRep) | 2 | 确定NPRACH的重复次数NRep |
| NPRACH(Isc)的子载波指示 | 6 | 用于为NPRACH分配子载波,nsc = Isc |
| NPRACH的载波指示 | 4 | 载波索引,ul-ConfigList,用于传输随机接入前导码。 该字段用于NPDCCH顺序以及是否配置了非锚定载波 |
| 调度延迟(IDelay) | 3 | 从NPDCCH结束加上5个子帧到PDSCH的第一个子帧所经过的子帧数 |
| 资源分配(ISF) | 3 | 确定NSF和传输块大小 |
| 调制和编码方案(IMCS) | 4 | 确定IT BS = IMCS |
| 重复次数(IRep) | 4 | 确定NRep |
| 新数据指标 | 1 | 指示传输块是新传输块还是重传传输块。 该信息被提供给MAC子层 |
| HARQ-ACK资源 | 4 | 表示为ACK / NACK分配的子载波 |
| DCI子帧重复次数 | 2 | 确定DCI(NPDCCH)重复的次数 |
| HARQ进程号 | 1 | 拒绝HARQ进程ID,并且仅在配置了两个HARQ进程时才出现 |
表7.21 DCI格式N1的调度延迟IDelay
| 调度延迟(IDelay) | 子帧数(k) |
| 0 | 0 |
| 1 | 4 |
| 2 | 8 |
| 3 | 12 |
| 4 | 16 |
| 5 | 32 |
| 6 | 64 |
| 7 | 128 |
表7.22 DCI格式N1的子帧数NSF
| 资源分配(ISF) | 子帧数(NSF) |
| 0 | 1 |
| 1 | 2 |
| 2 | 3 |
| 3 | 4 |
| 4 | 5 |
| 5 | 6 |
| 6 | 8 |
| 7 | 10 |
系统信息SIB1-NB和其他SIB在NPDSCH上承载。
SIB1-NB具有特殊的传输时间表,如第3.7.2节所述。根据第3.7.2节,UE已知用于SIB1-NB传输的子帧。如果子帧携带SIB1-NB,则根据参数schedulingInfoSIB1的值设置NRep,如表3.7所示。根据表7.25确定SIB1-NB的传输块大小IT BS。
在子帧m中完成NPDSCH传输之后,UE开始向eNodeB发送ACK / NACK。在NPDSCH结束之后,UE开始发送ACK / NACK k个子帧。也就是说,在DL子帧(m + k-11)结束之后,UE开始发送ACK / NACK响应。 UL子载波和k由表7.20和7.26中的HARQ-ACK资源字段确定。 ACK / NACK仅使用单个子载波而与子载波间隔无关。
使用NPUSCH格式2和N个连续UL时隙发送ACK / NACK响应。 N = N ACK x N UL,其中N ACK / Rep的值Rep时隙由RRC参数ack-NACK-NumRepetitions(表7.1)给出,并且N UL / slot是RU的时隙数,如表7.29所示。 。
表7.23 DCI格式N1的重复子帧数NRep
| 重复数(IRep) | 子帧数(NRep) |
| 0 | 1 |
| 1 | 2 |
| 2 | 4 |
| 3 | 8 |
| 4 | 16 |
| 5 | 32 |
| 6 | 64 |
| 7 | 128 |
| 8 | 192 |
| 9 | 256 |
| 10 | 384 |
| 11 | 512 |
| 12 | 768 |
| 13 | 1024 |
| 14 | 1536 |
| 15 | 2048 |
表7.24 NPDSCH的传输块大小(位)
| TBS 索引(IT BS) | 资源分配(ISF) | |||||||
| 0 | 1 | 2 | 3 | 4 | 5 | 6 | 7 | |
| 0 | 16 | 32 | 56 | 88 | 120 | 152 | 208 | 256 |
| 1 | 24 | 56 | 88 | 144 | 176 | 208 | 256 | 344 |
| 2 | 32 | 72 | 144 | 176 | 208 | 256 | 328 | 424 |
| 3 | 40 | 104 | 176 | 208 | 256 | 328 | 440 | 568 |
| 4 | 56 | 120 | 208 | 256 | 328 | 408 | 552 | 680 |
| 5 | 72 | 144 | 224 | 328 | 424 | 504 | 680 | 872 |
| 6 | 88 | 176 | 256 | 392 | 504 | 600 | 808 | 1032 |
| 7 | 104 | 224 | 328 | 472 | 584 | 680 | 968 | 1224 |
| 8 | 120 | 256 | 392 | 536 | 680 | 808 | 1096 | 1352 |
| 9 | 136 | 296 | 456 | 616 | 776 | 936 | 1256 | 1544 |
| 10 | 144 | 328 | 504 | 680 | 872 | 1032 | 1384 | 1736 |
| 11 | 176 | 376 | 584 | 776 | 1000 | 1192 | 1608 | 2024 |
表7.25携带SIB1-NB的NPDSCH的传输块大小(位)
| IT BS | 0 1 2 3 4 5 6 7 8 9 10 11 |
| TBS (Bits) | 208 208 208 328 328 328 440 440 440 680 680 680 |
表7.26Δf= 15 KHz时的ACK / NACK资源字段
| HARQ-ACK | 资源ACK / NACK子载波 | k |
| 0 | 0 | 13 |
| 1 | 1 | 13 |
| 2 | 2 | 13 |
| 3 | 3 | 13 |
| 4 | 0 | 15 |
| 5 | 1 | 15 |
| 6 | 2 | 15 |
| 7 | 3 | 15 |
| 8 | 0 | 17 |
| 9 | 1 | 17 |
| 10 | 2 | 17 |
| 11 | 3 | 17 |
| 12 | 0 | 18 |
| 13 | 1 | 18 |
| 14 | 2 | 18 |
| 15 | 3 | 18 |
7.10.9.14 DCI格式N2
该格式用于指示寻呼,直接指示(SIB内容的改变的指示),下行链路SC-MCCH或SC-MCCH改变的通知。 DCI格式N2中携带的信息如表7.27所示。 DCI格式N2的总大小是15比特(仅当Flag字段被设置为0并且NPDCCH被P-RNTI加扰时才使用直接指示信息字段)。
这些字段的解释与DCI格式N1的解释相同。 DCI格式N2由UE编码以在NPDSCH上提取寻呼PDU,其方式与DCI格式N1中所述的相同。
UE通过检查CRC来区分DCI的不同格式。如果使用RA-RNTI对CRC进行加扰,则NPDCCH内容是DCI格式N1,并且包括用于包含随机接入响应消息的MAC PDU的NPDSCH资源,如第6.3.2节中所述。
表7.27 DCI格式N2字段
| 字段 | 大小(Bits) | 含义 |
| 标志 | 1 | 如果设置为1,则表示寻呼,如果设置为0,则表示直接指示 |
| SC-MCCH 更改通知 | 1 | 表示SC-MCCH的更改 |
| 直接指示信息 | 8 | 表示系统信息更新(无需接收寻呼PDU) |
| 资源分配(ISF) | 3 | 确定NSF和传输块大小 |
| 调制和编码方案(IMCS) | 4 | 确定 IT BS = IMCS |
| 重复次数 (IRep) | 4 | 确定 NRep |
| DCI子帧重复次数 | 3 | 确定DCI(NPDCCH)重复的次数 |
如果使用临时C-RNTI对CRC进行加扰,则它指示DCI格式N1,其包括包含Msg4的NPDSCH,如第6.3.3节中所述。
如果用C-RNTI对CRC进行加扰,则消息中的第一位指示它是否是DCI格式N0或N1。如果格式为N0,则表示NPUSCH传输机会,而如果格式为N1,则表示NPDSCH传输。
如果CRC用SI-RNTI加扰,则它指示DCI格式N1,其包括包含SIB1-NB或其他SIB的NPDSCH。
如果CRC用G-RNTI加扰,则它是DCI格式N1。如果CRC被P-RNTI或SC-RNTI加扰,则这指示DCI格式N2。
7.10.9.15空间复用和发送分集
不支持空间复用,而发送分集最多支持两层。支持两个天线端口。发送分集可以用于NPDSCH和NPBCH,以增加UE的消息接收的可靠性。发送分集在7.10.8.7节中说明。
7.11上行链路物理信道和结构
上行链路信道由以下物理信道组成:
窄带物理上行链路共享信道,NPUSCH。
窄带物理随机接入信道,NPRACH。
除了以下物理信号:
窄带解调参考信号。
UE没有NPUCCH。
7.11.1上行链路传输方案SC-FDMA
上行链路传输方案基于单载波FDMA(SC-FDMA)。 SC-FDMA还被描述为DFT扩展OFDM(DFTS-OFDM),其在上行链路OFDM调制器之前执行DFT预编码。仅存在一个违反的循环前缀长度,其对应于每个时隙的七个OFDM符号。
对于Δf= 15 KHz的子载波间隔,
正常循环前缀:TCP = 5:2 us(OFDM符号#0),TCP = 4:7 us(OFDM符号#1至#6)。
Ts = 1 =(2048×Δf)。
对于Δf= 3:75 KHz副载波间隔,
正常循环前缀:TCP = 8:3 us(OFDM符号#0至#6)。
Ts = 1 =(8192×Δf),其中Ts是OFDM符号的采样时间。
UE使用单音传输和多音传输。对于单音传输,有两个命理:3.75和15KHz子载波间隔。
在频域中,资源块不受限制,而是反过来RU。如果上行链路子载波间隔Δf= 15KHz,则存在12个连续的子载波。如果上行链路子载波间隔Δf= 3:75KHz,则存在48个连续的子载波。表7.28总结了上行链路插槽配置。
表7.28上行插槽配置
| 子载波间隔(KHz) | 最大子载波数 | SC-FDMA 符号 | 时隙持续时间 (ms) |
| Δf = 3:75 | 48 | 7 | 2 |
| Δf = 15 | 12 | 7 | 0.5 |

图7.22:Δf= 15 KHz的上行链路插槽。

图7.23:Δf= 3.75 KHz的上行链路插槽。
图7.22和7.23分别示出了子载波间隔为15和3.75KHz的上行链路时隙持续时间和子载波数量。
具有3.75KHz子载波间隔的单音传输被组织成具有2ms持续时间的时隙,每个时隙由位于时隙开始的七个符号组成。时隙边界与帧结构类型1的子帧边界对齐.3.75KHz子载波间隔的一个符号由275 us的符号持续时间(包括8:3 us的循环前缀)组成。由于2ms时隙具有7个符号,因此剩余的75μs的时隙是空的并且用作保护时段。
对于多音传输,存在12个连续的上行链路子载波,其上行链路子载波间隔为Δf= 15KHz。子载波可以被分组为3个,6个或12个连续子载波的集合。
可调度用于具有UL-SCH传输的单音NPUSCH的RU被定义为用于16个时隙(32ms)的单个3.75KHz子载波或用于16个时隙(8ms)的单个15KHz子载波。
可调度用于具有UL-SCH传输的多音NPUSCH的RU被定义为3个子载波,持续4ms;或6个子载波2 ms;或12个子载波1 ms。
可调度用于具有ACK / NACK传输的NPUSCH的RU使用NPUSCH格式2.它被定义为单个3.75KHz副载波持续8ms或单个15KHz副载波持续2ms。
可以在一个或多于一个RU上及时调度NPUSCH(UL-SCH)传输块。
表7.29总结了所使用的子载波的数量,时隙数,用于两个子载波间隔的子载波间隔。图7.24显示RU由跨越16个时隙的单个子载波组成(对于Δf= 3:75KHz,时隙为2ms,对于Δf= 15KHz,时隙为0.5ms)。图7.25显示RU由跨越四个时隙的六个子载波组成。
7.11.2资源网格
资源网格与下行链路中使用的资源块不同。对于Δf= 15KHz或Δf= 3:75KHz,上行链路时隙的形状如图7.22或7.23所示。它由时域中的七个SC-FDMA符号和频域中的多个子载波组成。
表7.29 NPUSCH格式
NPUSCH(KHz)(ms)每个时隙的SC-FDMA符号数
| NPUSCH 格式 | 子载波间隔(KHz) | 子载波数量 | 时隙数 | 总时隙持续时间(ms) | 每个时隙的SC-FDMA符号数 |
| 1 | 3.75 | 1 | 16 | 32 |
7 |
|
15 | 1 | 16 | 8 | ||
| 3 | 8 | 4 | |||
| 6 | 4 | 2 | |||
| 12 | 2 | 1 | |||
| 2 | 3.75 | 1 | 4 | 8 | |
| 15 | 1 | 4 | 2 |

图7.24:用于Δf= 15 KHz的16个插槽的单音RU,如表7.29所示(总持续时间为8 ms)。

图7.25:用于Δf= 15KHz的四个时隙的多音(六个子载波)RU,如表7.29所示(总持续时间为2ms)。
7.11.3 NPUSCH(窄带物理上行共享信道)
NPUSCH用于传输上行链路传输块。每个载波最多只传输一个传输块。当MAC子层将传输块(或MAC PDU)传递到PHY层以进行上行链路传输时,NPUSCH执行以下功能:
- CRC插入:24位CRC。
- 信道编码:Turbo编码。
- 速率匹配。
- 物理层混合ARQ处理。
- 加扰:UE特定的加扰。
- 调制:用于NPUSCH的单音传输的π/ 2-BPSK和π/ 4-QPSK,以及用于NPUSCH的多音传输的QPSK。
- 映射到分配的资源。
图7.26显示了处理上行链路信道的不同功能。
7.11.3.1 CRC计算
与第7.10.8.1节和NPDSCH相同,使用相同的CRC。
7.11.3.2 Turbo编码
turbo编码器是并行级联卷积码(PCCC),具有两个八态成分编码器和一个turbo码内部交织器。 turbo编码器的编码率是1/3。 turbo编码器如图7.27所示。

图7.26:上行链路信道处理。

图7.27:速率为1/3的Turbo编码器。
PCCC的传递功能是:

turbo编码器的输入位是b0; b1; b2; ::: ;; b B -1其中B是传输块比特和CRC奇偶校验比特。 turbo编码器的输出为s0 / k; p1 / k; p2 / k其中s是系统位,p 1 / k和p2 / k是第一和第二奇偶校验位,k = 0; 1; 2; ::: ;; K-11,K = B + 4。
当开始编码输入位时,turbo编码器的移位寄存器具有零的初始值。
7.11.3.3速率匹配
速率匹配块类似于7.10.8.3节中用于NPDSCH的速率匹配块,除了子块交织器和比特收集和修剪使用不同的参数。
turbo编码器的输出作为速率匹配模块的输入提供,如图7.29所示。三个信息比特流,s0 / k; p1 / k;从turbo编码器获得的p2 / k被提供作为每个子块交织器的输入,每个子块交织器分别交织它们。
将交错的比特插入循环缓冲器中,首先插入系统比特,然后交替插入第二和第三个奇偶校验比特,如图7.28所示。比特选择从循环缓冲器中提取连续比特,其范围与分配给传输的资源块中的可用资源元素的数量(即,软缓冲区大小)相匹配。要提取的精确比特集取决于对应于从循环缓冲器中提取编码比特的不同起始点的RV。 RV有四种不同的选择。比特选择的输出序列用e0表示; e1; e2; ::: ;; e E -1,其中E是速率匹配位的数量。并非所有RV都用于NPUSCH,并且仅使用RV = 0或RV = 2。

图7.28:具有冗余版本(RV)的循环缓冲区。

图7.29:速率为1/3的turbo编码器的速率匹配。
表7.30ACK / NACK信道编码
| ACK/NACK | ACK/NACK Codeword (b0 ; b1 ; b2 ; : : : ; b15) |
| 0 | 0,0,0,0,0,0,0,0,0,0,0,0,0,0,0,0 |
| 1 | 1,1,1,1,1,1,1,1,1,1,1,1,1,1,1,1 |
7.11.3.4 NPUSCH上的数据和ACK / NACK复用
如果UE要在NPUSCH上发送ACK或NACK而没有UL-SCH上的任何数据,则根据表7.30对它们进行编码。
7.11.3.5信道块交织器
速率匹配器输出,e0; e1; e2; ::: ;; e E -1,其中E是速率匹配比特的数量,是用于传输给定传输块的编码比特。速率匹配器输出不包含用于控制传输的比特,例如ACK / NACK。速率匹配器比特被重新排序为由g0表示的输出比特; g1; g2; ::: ;; g H -1,其中H = E = Qm,其中g是长度为Qm的列向量。 Qm是星座大小,π/ 2-BPSK为1,π/ 4-QPSK为2。
提供数据位H作为块交织器的输入。 ACK / NACK编码比特(即,ACK / NACK码字)与来自块交织器的交织数据比特组合,以提供由h0表示的比特序列; h1; h2; ::: ;; h H -1。
7.11.3.6加扰
代码字,h0; h1; h2; ::: ;; h H -1,其中H是在码字中发送的比特数在调制之前被加扰。作为X-OR运算,码字乘以UE特定的加扰序列,产生加扰输出h0; h1; h2; ::: ;; h H -1。
7.11.3.7调制
每个加扰码字,h0; h1; h2; ::: ;;使用BPSK或QPSK调制h H -1,其对应于每个复值符号的一个比特或两个比特。
NPUSCH有两种配置(或格式),如表7.29所示。 PUSCH格式1用于UL-SCH上的数据传输。 NPUSCH格式2用于上行链路控制信息(例如,HARQ ACK / NACK传输)。格式2总是具有一个子载波的RU,而与子载波间隔无关。与NPDSCH对应的ACK / NACK在NPUSCH上以单音传输发送,其中频率资源和时间资源由下行链路授权指示。
对于NPUSCH格式2,调制方案总是π/ 2- BPSK。对于NPUSCH格式1,如果RU是一个子载波,则可以使用π/ 2-BPSK或π/ 4-QPSK。格式1中的所有其他RU使用QPSK。
表7.31显示了可以使用的精确调制格式,其中可以使用π/ 4-QPSK和π/ 2-BPSK。这些调制方案的星座映射如图7.30所示。 π/ 4-QPSK与QPSK相同,但对于奇数符号,星座移位角度为π/ 4。此外,π/ 2-BPSK与BPSK相同,但对于奇数符号,星座移位角度π/ 2。
表7.31 NPUSCH调制
| 传输信道 | 调制 |
| 格式1具有单个子载波 | π/2-BPSK, π/4-QPSK |
| 格式1具有多个子载波 | QPSK |
| 格式2具有单个子载波 | π/2-BPSK |

图7.30:π/ 2-BPSK和π/ 4-QSPK星座图。
7.11.3.8层映射
UE仅支持一层用于上行链路。在调制之后,码字的调制符号被映射到一个层。复值调制符号,m0; m1; m2; ::: ;; m N -1,对于码字映射到一层x0 / i = mi,其中i = 0; 1; 2; ::: ;; N sym -11。
7.11.3.9变换预编码
符号数Nsym被分成多个组,每组由N个RU / sc调制符号组成,并且对应于一个SC-FDMA符号。 N RU / sc是子载波的数量,如表7.16所示。
由于上行链路只有一个天线端口,因此调制符号直接映射到资源单元而无需任何预编码。
7.11.3.10映射到物理资源
可以将一个或多个RU NRU分配给UE以用于其在NPUSCH上的上行链路传输。复数值符号的数量Nsym被映射到每个RU,首先从子载波开始,然后到每个SC-FDMA符号。符号被映射到每个RU的N个UL /时隙,然后重复NRep次。映射继续到剩余的RU。
7.11.4 NPRACH
NPRACH用于随机接入前导码传输。 NPRACH使用3.75 KHz的子载波带宽,由符号组组成。每个符号组都有一个循环前缀和五个符号,如图7.31所示。

图7.31:随机访问符号组。
表7.32符号组参数
| 前导格式 | TCP (us) | TSEQ (ms) |
| 0 | 66 | 1.333 |
| 1 | 266 | 1.333 |
两种前同步码格式是固定的,格式0和格式1如表7.32所示,适用于不同的最大小区大小。对于格式1,五个符号具有TCP = 66 us的单个CP,对于格式2,具有TCP = 266 us.两种格式的符号的持续时间是TSEQ = 1.333ms。因此,对于格式1和2,符号组分别为1.4和1.6ms。要使用的前导码格式在系统信息中广播。
TCP = 266 us的长CP可用于半径范围为40 km的大型小区,TCP = 66 us的短CP可用于半径范围为10 km的小区。
前导码由无间隙传输的四个符号组组成。每个符号组在单个子载波上发送,这些子载波以跳频方式使用。符号组中的每个子载波在频率上跳过一个或六个子载波。跳频限于一组连续的12个子载波。可以在每次重复时使用相同的传输功率多次重复前导码传输。图7.32显示了随机访问前导码中四个符号组的跳频模式。
用于随机访问的过程和参数在6.3.2节中描述。在选择第一子载波用于第一前导码符号组的传输之后,用于接下来的三个码元组的接下来的三个子载波由跳频标准确定,该跳频标准仅取决于第一子载波的位置。当重复符号组时,根据伪随机跳跃标准选择第一子载波,其中物理小区ID,PHY ID / CELL用作输入。
该跳频标准保证子载波选择产生跳频方案,该跳频方案可以在容量允许时适应来自UE的无冲突传输。前导序列建立在Zadoff {Chu序列上,该序列取决于子载波位置。在[36] - [38]中研究了随机接入过程的性能研究及其可能的优化。
7.11.5解调参考信号
解调参考信号(DMRS)从UE发送到eNodeB。它在与NPUSCH相同的RU中传输。 DMRS在1或3个SC-FDMA符号上发送。对于NPUSCH格式1,SC-FDMA符号#4和#3分别用于3:75或15 KHz的子载波间隔,如图7.33所示。对于NPUSCH格式2,并且在子载波间隔为3.75KHz的情况下,使用SC-FDMA符号#0,#1,#2,而对于15KHz的子载波间隔,SC-FDMA符号#2,#3,#4是用过的。 NPUSCH格式2如图7.34所示。 DMRS未使用的其他子载波用于NPUSCH。

图7.32:随机接入前导码的四个符号组的跳频。

图7.33:子载波间隔为(a)3.75 KHz和(b)15 KHz时NPUSCH格式1的DMRS。

图7.34:子载波间隔为(a)3.75 KHz和(b)15 KHz时NPUSCH格式2的DMRS。
7.11.6上行链路功率控制
用于NPUSCH的UE发送功率基于NPUSCH的重复次数是否小于或大于两次重复。如果NPUSCH重复是2或小于2,则UE使用该等式来计算小区的时隙n中的NPUSCH功率:

否则,如果重复次数大于2,则UE使用该等式
P(n)= PMAX(n)dBm;
哪里
PMAX(i)是时隙n中的小区特定最大发射功率。
对于15KHz的子载波间隔,M(n)等于f1 / 4g,对于15KHz子载波间隔,M(n)等于f1,3,6,12g的单个值。
PO是由RRC用信号通知的不同参数的组合,其取决于传输块是用于UL-SCH数据(j = 1)还是用于RACH授权消息(j = 2)。
ɑ(j)是RRC为NPUSCH格式1提供的路径损耗因子;否则,它的固定值为1。
PL是由UE以dB为单位测量和估计的路径损耗。路径损耗因子用于表示路径损耗应补偿的强度。
7.12 PHY子层数据速率
表7.33显示了PHY子层的最大数据速率。由于PHY子层的重复,CRC开销和PHY / MAC / RLC / PDCP子层的PDU报头开销,应用层的数据速率经历了显着的较低速率。
如果没有重复,则可以实现PHY子层的最大数据速率。在下行链路中,子帧中的一个传输块传输产生最大下行链路数据速率。类似地,对于上行链路,在多个时隙配置内的一个传输块传输产生最大上行链路数据速率。
对于下行链路,如表7.24所示,当资源分配ISF = 5时,可以实现1544比特的单个传输块大小.ISF = 5表示子帧的数量NSF等于6(6ms)用于传输此传输块大小(表7.22)。重复子数NRep等于1,这意味着传输块只传输一次而没有其他重复。
对于上行链路,当Δf= 15 KHz时,表7.18表明当资源分配时,可以实现1544比特的单个传输块大小,IRU = 5.IRU = 5表示RU的数量NRU等于6(6 ms)用于传输此传输块大小(表7.14)。重复子数,NRep等于1,这意味着传输块只传输一次而没有其他重复。如表7.29所示,使用12个子载波和2个时隙的配置也可以实现Δf= 15KHz的最大上行链路数据速率。
对于上行链路,当Δf= 3.75 KHz时,表7.18表明对应于TBS索引,IT BS = 10和资源分配IRU等于4,可以实现872比特的单个传输块大小。这是因为Δf = 3:75 KHz,子载波数量为1,最大TBS指数IT BS为10(表7.17)。 IRU = 4表示传输此传输块大小的RU数NRU等于5(表7.14)。当Δf= 3.75 KHz时,上行链路时隙使用1个子载波,16个时隙的配置,每个时隙为2 ms,如表7.29所示,从而产生16 x 2 x 5 = 160 ms的传输块大小的持续时间872位。
表7.33下行链路和上行链路的最大PHY数据速率
| NPUSCH 数据速率 (Kbps) | NPUSCH数据速率 Δf = 15 KHz (Kbps) | NPDSCH 数据速率Δf = 3:75 KHz (Kbps) |
| 257.3 | 257.3 | 5.5 |
值得注意的是,如表3.29所示,Cat-NB1 UE的最大传输块大小分别为680位和1000位,用于下行链路和上行链路。对于下行链路或上行链路,Cat-NB2 UE的最大传输块大小为2536比特。然而,Cat-NB1和Cat-NB2的最大PHY数据速率类似,尽管Cat-NB2 UE具有比Cat-NB1 UE更大的传输块大小。这是因为这种较大传输块大小所需的下行链路子帧(或上行链路RU)的数量也随时间增加,从而限制了最大PHY数据速率的增加。
最后
以上就是缥缈自行车最近收集整理的关于5G LTE窄带物联网(NB-IoT) 10第7章 物理子层的全部内容,更多相关5G内容请搜索靠谱客的其他文章。
发表评论 取消回复