5G同步信号(PSS/SSS)及其时频资源
同步信号
5G定义了1008个物理小区ID,取值范围0~1007,由如下公式表示

UE通过检测PSS序列及SSS序列,就可以得到上述公式中的N(2)IDN_{ID}^{(2)}NID(2)和N(1)IDN_{ID}^{(1)}NID(1),具体怎么得到呢,我们来看一下这两个信号的序列生成方式就知道了。
PSS信号的序列dPSS(n)d_{PSS}(n)dPSS(n)定义如下(见38.211-7.4.2.2.1):

因为n的取值范围是[0,127),可以得出PSS序列的长度是127。决定dPSS(n)d_{PSS}(n)dPSS(n)取值的是x(m),N(2)IDN_{ID}^{(2)}NID(2)有三个取值,所以对应每一个n∈[0,127)nin[0,127)n∈[0,127)的m值也有三个,最终dPSS(n)d_{PSS}(n)dPSS(n)值有三个,也就是说PSS序列有三个,所以UE根据检测到的PSS序列,就可以反推出使用的N(2)IDN_{ID}^{(2)}NID(2)值。
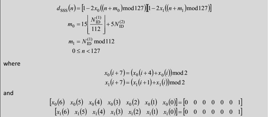
SSS信号的序列dPSS(n)d_{PSS}(n)dPSS(n)定义如下(见38.211-7.4.2.3.1):

可以看到,SSS信号的序列长度也是127。从m0m_0m0的值可以得到N(1)IDN_{ID}^{(1)}NID(1)的值是在[0,111],[112,223]还是[224,335]范围内,从m1m_1m1的值可以得到N(1)IDN_{ID}^{(1)}NID(1)在上述范围内的偏移,最终就得到了N(1)IDN_{ID}^{(1)}NID(1)的值。举个例子,
SS/PBCH block
SS/PBCH block定义了PSS、SSS、PBCH以及PBCH关联的DMRS在时频资源的映射。每个SS/PBCH block在时域上包含4个OFDM符号,编号0~3;在频域上,一个SS/PBCH
block占用240个连续的子载波,子载波在block内编号0~239。具体的时频资源映射见38.211-Table7.4.3.1-1:

表中的v值由物理小区ID决定,来自于v=NcellIDmod4v=N_{ID}^{cell} mod 4v=NIDcellmod4,这样做是为了把PBCH的DMRS在频域上错开,减少小区间干扰。
根据上表,在一个SS/PBCH block中,PSS、SSS、PBCH的映射可以用下图表示

SS/PBCH block频域位置
0~239只是在一个SS/PBCH block里面的子载波编号,那么在整个CRB中,SS/PBCH
block处于什么位置呢?
协议中用kSSBk_{SSB}kSSB来表示公共资源块NSSBCRBN_{CRB}^{SSB}NCRBSSB中的子载波0相对SS/PBCH
block中的子载波0的偏移。kSSBk_{SSB}kSSB的低4比特由高层参数ssb-SubcarrierOffset
给出。对于SS/PBCH block type B(μ∈{3,4}muin{3,4}μ∈{3,4} )来说,kSSB∈{0,1,2,...,11}k_{SSB}in{0,1,2,...,11}kSSB∈{0,1,2,...,11},4比特就足够了;而SS/PBCH block type A(μ∈{0,1}muin{0,1}μ∈{0,1})的kSSB∈{0,1,2,...,23}k_{SSB}in{0,1,2,...,23}kSSB∈{0,1,2,...,23},需要5比特表示,协议使用PBCH净荷中的aA¯¯¯+5a_{bar{A}+5}aAˉ+5来表示kSSBk_{SSB}kSSB的高比特位。
SS/PBCH block时域位置
在一个携带SS/PBCH block的半帧中,有多个候选时刻可以放置SS/PBCH block,这些候选时刻的第一个符号的索引由子载波间隔决定,具体情况如下表所示,针对表中的索引,索引0指的是半帧中的第一个时隙的第一个符号:

可以看到,对于不同的情况,候选SS/PBCH block时刻会有多个,即L=4、L=8、L=64。
UE要怎么确定小区最终选择了哪个索引呢?从38.211-7.4.1.4.1章节可知,PBCH的DMRS序列与SS/PBCH block索引的低2bit(L=4)或低3bit(L>4)是一一对应的,所以UE检测到PBCH的DMRS序列,就可以得到L=4、L=8的索引,以及L=64的索引的低3bit;L=64的高3bit从PBCH净荷的a¯A¯¯¯+5,a¯A¯¯¯+6,a¯A¯¯¯+7bar{a}_{bar{A}+5},bar{a}_{bar{A}+6},bar{a}_{bar{A}+7}aˉAˉ+5,aˉAˉ+6,aˉAˉ+7。
对于初始小区选择,UE可以假定携带有SS/PBCH block的半帧以2帧(20ms)为周期。
最后
以上就是可靠大船最近收集整理的关于5G同步信号(PSS/SSS)及其时频资源 5G同步信号(PSS/SSS)及其时频资源同步信号SS/PBCH block的全部内容,更多相关5G同步信号(PSS/SSS)及其时频资源内容请搜索靠谱客的其他文章。
发表评论 取消回复