速率匹配概述
在5G NR中,3GPP采用的信道编码方案主要有两种,Polar和LDPC,其中控制信道和广播信道采用Polar编码,数据信道采用LDPC。速率匹配是根据信道编码后的不同码流长度做不同的处理,从而使得码流长度与实际传输能力相匹配,速率匹配的方案是与编码的方式强相关的。

上图为PDCCH发端的处理流程,首先PDCCH根据PDSCH的调度信息以及DCI格式信息后,生成DCI码流,不同于LTE的16bit CRC编码,5G NR中采用24bit CRC编码;接下来进行Polar编码,根据Polar码的原始定义,其码长限定为2的整数幂次方。因此,Polar码需要速率匹配过程来调整码长,适配实际的传输资源。
PDCCH速率匹配
虽然同为Polar码的速率匹配方案,PDCCH和PUCCH还是略有不同。PDCCH的速率匹配包括两个步骤:子块交织(Sub-Block Interleaving)和比特选择(Bit Selection);PUCCH的速率匹配包括:子块交织、比特选择和信道交织,其中信道交织采用三角交织的方案。下行PDCCH之所以没有进行信道交织,是因为在衰落信道和目前PDCCH的整体架构下,信道交织的增益只会在有限的场景中体现,并综合帧结构设计、PDCCH复杂度以及时延要求方面的考虑。
下面先介绍子块交织,假设Polar编码后的码流长度为N,将速率匹配输入码流分为32个子块,每个子块的长度为N/32;然后根据子块交织图样进行交织,交织就是将原本顺序的码流按照一定的规则乱序化,这样就能在传输过程中将突发产生集中的错误最大限度的分散化,然后根据信道编码的纠错能力恢复原始正确码流。交织图样如下表所示

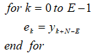
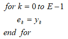
接下来介绍比特选择,顾名思义,比特选择就是根据速率匹配的输入码流长度N和信道实际传输比特数E之间的大小关系,选择丢弃或者重复一些比特。比特选择有三种模式:打孔(Puncturing)、缩短(Shortening)和重复(Repetition),具体三种模式之间的关系如下图所示

图中K表示Polar编码前的码流长度,即K=原始DCI码流+CRC编码长度24;N表示Polar编码后的码流长度,E表示速度匹配输出码流长度。从上图可以看出,当E>=N时,需要在原始比特流基础上添加一部分重复的比特,重复模式伪代码如下

当E<N时,需要比较K和E的关系,在K/E<=7/16,即低码率情况下采用打孔;在K/E>7/16,即高码率情况下采用缩短。
打孔模式时,直接截取后原始N个比特中的后E个比特,实现伪代码如下

缩短模式时,直接取原始N个比特中的前E个比特,实现伪代码如下

针对上述高低码率的分界线7/16,暂未跟踪当时3GPP的会议提案,未知其缘由,暂且认为是38.212中的一项规定。
最后
以上就是雪白八宝粥最近收集整理的关于5G NR PDCCH速率匹配速率匹配概述PDCCH速率匹配的全部内容,更多相关5G内容请搜索靠谱客的其他文章。
发表评论 取消回复