我是靠谱客的博主 热心身影,这篇文章主要介绍matlab求传递函数在某个频率点的增益_了解一阶高通滤波器传递函数,现在分享给大家,希望可以做个参考。

简要回顾一下:通过对S域电路的分析,可以得到低通滤波器的输入输出特性表达式;电路的VOUT/VIN表达式是滤波器的传递函数,如果将该表达式与标准化形式进行比较,可以快速确定两个关键参数,即截止频率和最大增益;传递函数可以写成分子多项式除以分母多项式,分子多项式的根是传递函数的零,分母多项式的根是传递函数的极点。另一种说法是传递函数零导致T(s)= 0并且传递函数极点导致T(s)→∞;轮询调查导致系统波特图幅度响应的斜率下降20dB/decade;零点导致斜率增加20dB/decade;轮询贡献-90°的相移,零点贡献+ 90的相移。

高通传递函数

一阶RC高通电路实现如下:

45d324c2f638b47c0b7703fcd270b006.png

一阶高通滤波器的输入到输出行为可以通过以下标准化传递函数来描述:

dec51cb2f7267a7a3735f19b74243a73.png

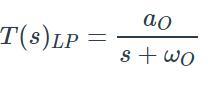
将它与相应的低通表达式进行比较:

3dda5515291d56f8e50d65777b2ff991.png

如你所见,分母是相同的。在这两种情况下都具有在s =-ωo处的极点,这意味着这两个低通滤波器和所述高通滤波器将具有以下特征:在ωo幅度响应将低于最大量值响应3分贝;使用无源滤波器最大幅度响应是统一,在这种情况下,在ωo的值为-3dB;在ωo电路的相移绝对值为45°。

因此,这两个电路中ωo处的响应非常相似。然而,ωo上下频率的响应受t(s)分子的影响T(S)分子的影响,这两个分子之间的差异使低通滤波器与高通滤波器有很大的不同。

分子作用

T(s)HP的分子告诉我们两件事:幅度响应的初始斜率为+ 20 dB / decade,最大幅度为1。让我们仔细看看这两个特征。

df38f350b5ae309b9f58f637a2a32442.png

初始斜率

由于在分子中有变量s,因此无论s的值是什么,我们都会有一个传递函数为零,导致分子等于零。在一阶高通滤波器的情况下,整个分子乘以s,因此零在s=0。s=0时的零点如何影响实际电路的振幅和相位响应?首先考虑一下它的大小。我们知道零点将导致波特曲线的斜率增加20dB/decade。然而,这种增加发生在ω=0rad/s(或ƒ=0Hz),这里是捕捉点:波特图的水平轴永远不会达到0Hz。它是一个对数轴,这意味着频率从10Hz降至1Hz,降至0.1Hz,降至0.01Hz,依此类推。它永远不会达到0Hz。因此,我们从未在ω=0rad/s处看到零点的角频率。

相反,幅度曲线仅以+ 20dB/decade的斜率开始。幅度继续增加到极点频率;极点使斜率降低20dB/十倍,导致响应变得平坦(即斜率=0dB/十进制)并且随着ω向无穷大增加而保持平坦。

关于最大增益以及高通滤波器相位响应的内容请打开下面链接进行查看:https://www.eetoday.com/application/control/90394.html

最后

以上就是热心身影最近收集整理的关于matlab求传递函数在某个频率点的增益_了解一阶高通滤波器传递函数的全部内容,更多相关matlab求传递函数在某个频率点内容请搜索靠谱客的其他文章。

本图文内容来源于网友提供,作为学习参考使用,或来自网络收集整理,版权属于原作者所有。
点赞(234)

评论列表共有 0 条评论

立即
投稿
返回
顶部