注:本博客是基于奥本海姆《信号与系统》第二版编写,主要是为了自己学习的复习与加深。
一、利用z变换分析与表征线性时不变系统
1、在离散时间线性时不变系统的分析和表示中,z年欢有重要的作用。根据卷积性质

其中,X(z),Y(z)和H(z)分别是输入、输出和单位冲激响应的z变换。H(z)称为系统的系统函数或转移函数。只要单位圆在H(z)的收敛域内,将H(z)在单位圆上求值(即z=
),H(z)就变成系统的频率响应。
一)因果性
1、一个离散时间线性时不变系统,当且仅当它的系统函数的收敛域在某个圆的外边,且包括无限远点是,该系统就是因果的。
2、一个具有有理系统函数H(z)的线性时不变因果系统是因果的,当且仅当:(a)收敛域位于最外层极点外边某个圆的外边;并且(b)若H(z)表示成z的多项式之比,其分子的阶次不能高于分母的阶次。
二)、稳定性
1、一个线性时不变系统,当且仅当他的系统函数H(z)的收敛域包括单位圆|z|=1时,该系统就是稳定的。
2、一个具有有理系统函数的因果线性时不变系统,当且仅当H(z)的全部极点都位于单位圆内时,即全部极点的模均小于1时,该系统就是稳定的。
三)、由线性常系数差分方程表征的线性时不变系统
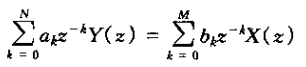
1、对于一般的N阶差分方程,对方程两边进行z变换,并且利用线性和时移性质。考虑一个线性时不变系统,其输入、输出满足如下线性常系数差分方程

在式(10.1051)两边取z变换,并利用线性和时移性质可得

或者

这样就有

特别要注意,一个满足线性常系数差分方程的系统,其系统函数总是有理的。另外,差分方程本身没有提供关于与代数表示式H(z)有关的收敛域的信息。因此,诸如因果性、稳定性之类的附加限制,应该用来作为标定收敛域的条件。
二、系统函数的代数属性与方框图表示
一)、线性时不变系统互联的系统函数
1、对于分析像级联、并联和反馈互联这些离散时间方框图的系统函数方面的导数问题,其分析跟以前连续时间一样。
二)、由差分方程的有理系统函数描述的因果线性时不变系统的方框图表示
1、方框图的表示有直接型、级联型和并联型方框图。
2、一个系统的每一种方框图表示,对于系统实现来说都能直接转换为一个计算机算法,然而由于计算机的有限字长,要对刚方框图中的这些系数进行量化,又由于在算法过程中会有数值上的舍入,因此每一种方框图表示所引进的算法仅仅是对原系统特性的一种近似。然而,这种近似中的误差或多或少是不同的。
三、单边z变换
1、单边z变换在分析由线性常系数差分方程描述的具有出事条件(即系统不是出事松弛的)的因果系统时特别用拥有。
2、一个序列x[n]的单边z变换定义为

对于一个信号和它的z变换采用一种方便的简化符号为

单边z变换与双边z变换的差别在于,求和仅在n的非负值上进行,而不考虑n>0时x[n]是否为零。因此,单边z变换就能看成x[n]u[n](即x[n]乘以单位阶跃)的双边变换。特别的是,若任何序列在n<0时本身就为零,那么该序列的单边和双边z变换都是一致的。
2、单边z变换和双肩z变换差不多,但是要考虑到在变换求和中的极限是对.≥进行的。同理,单边z逆变换的计算也基本上与双边变换相同,但是要考到对单边变换而言,其收敛域总是位于耨个圆的外边。
一)、单边z变换和单边z逆变换举例
1、通过z变换的幂级数展开式的系数来求逆变换的方法,也能够应用于单边变换的情况。不过,在单边情况下必须满足的一种限制是,根据式(10.105)变换的莫结束展开式不能包括z的正幂次项。
注意:X(z)的幂级数展开式中没有z的正幂次项的要求,意味着不是每一个z函数都能是一个单边z变换。特别的是,若考虑将z的一个有理函数写成以z的多项式之比,即

那么,这个z的有理函数若能成为一个单边变换(适当地选择收敛为某一个圆的外边),其分子的阶次必须不能高于分母的阶次。
二)、单边z变换性质


三)、利用单边z变换求解差分方程
1、可以利用单边z变换和时延性质来解具有非零出事条件的线性常系数差分方程。
最后
以上就是舒服电源最近收集整理的关于《信号与系统学习笔记》—z变换(二)的全部内容,更多相关《信号与系统学习笔记》—z变换(二)内容请搜索靠谱客的其他文章。
发表评论 取消回复