zp2tf:
将零极点增益滤波器参数转换为传递函数的形式
语法格式:[b,a] = zp2tf(z,p,k)
例如:
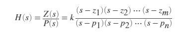
[b,a] = zp2tf(z,p,k)将单输入/多输出(SIMO)系统的分解式传递函数表示 :

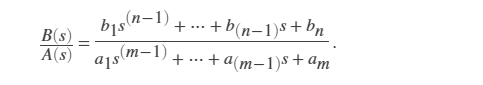
转换为多项式传递函数表示:

最后
以上就是野性钢笔最近收集整理的关于MATLAB函数 zp2tf详解的全部内容,更多相关MATLAB函数内容请搜索靠谱客的其他文章。
本图文内容来源于网友提供,作为学习参考使用,或来自网络收集整理,版权属于原作者所有。
zp2tf:
将零极点增益滤波器参数转换为传递函数的形式
语法格式:[b,a] = zp2tf(z,p,k)
例如:
[b,a] = zp2tf(z,p,k)将单输入/多输出(SIMO)系统的分解式传递函数表示 :

转换为多项式传递函数表示:

以上就是野性钢笔最近收集整理的关于MATLAB函数 zp2tf详解的全部内容,更多相关MATLAB函数内容请搜索靠谱客的其他文章。
发表评论 取消回复