系统函数
定义为:系统单位抽样响应h(n)的z变换,记为H(z)
频率响应

因果稳定系统
1.稳定性:(由z变换分析稳定性)
线性移不变系统稳定的充要条件:h(n)满足绝对可和
即 ∑|h(n)|<∞
z变换H(z)的收敛域:满足 ∑|h(n)z-n|<∞ 的那些z
如果收敛域包含单位圆,则有∑|h(n)|<∞ ,即系统稳定。
反过来说,稳定系统的收敛域应包括单位圆 |z| =1。
2.因果性:(由z变换分析因果性)
LSI系统为因果系统的充要条件是单位抽样响应h(n)为因果序列,则其z变换H(z)的收敛域为 R-<|z|≤∞。
3.因果稳定系统的极点
收敛域 R-<|z|≤∞应包含单位圆 |z|=1,即系统函数收敛域至少为 1≤|z|≤∞;
也就是说,其全部极点(z平面上对应于H(z)的表达式=∞的点)必须在单位圆内。
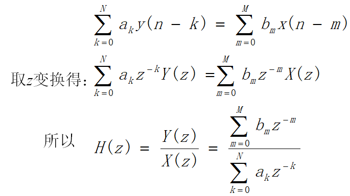
系统函数与差分方程的关系
线性移不变系统常用差分方程表示:


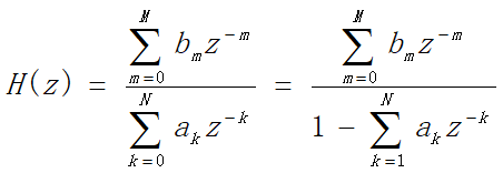
可见,除了比例常数K以外,系统函数完全由它的零点、极点决定
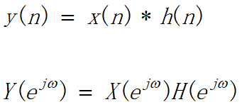
系统的频率响应的意义
系统的频率响应 
对于线性移不变系统:

输出序列的傅氏变换等于输入序列的傅氏变换与频率响应的乘积。

频率响应的几何确定
1.频率响应的零极点表达式


2.几点说明

(2) 单位圆附近的零点对幅度响应的谷点的位置与深度有明显影响,当零点位于单位圆上时,谷点为零。零点可在单位圆外。
(3) 单位圆附近的极点对幅度响应的峰点位置和高度有明显影响。极点在圆外,则系统不稳定。
IIR系统和FIR系统
1.无限长单位冲激响应(IIR)系统 Infinite-duration Impulse Response
定义:如果系统的单位抽样响应h(n)延伸到无穷长,即n→∞时,h(n)仍有值,则称作IIR系统。

2.有限长单位冲激响应(FIR)系统Finite-duration Impulse Response
定义: h(n)为有限长序列的系统。

从系统结构上说,FIR系统的输出是输入的组合运算,没有输出端到输入端的反馈,可以用“非递归”结构实现;
而IIR系统在求y(n)时需要用到以前的输出值y(n-k),因此在结构上有输出到输入的反馈,是“递归型”结构。
3.几个概念
FIR系统在有限z平面没有极点,称为全零点系统,也称为滑动平均 (moving average, MA)系统。
对于IIR系统,当系统函数

的分子项只有常数时,有限z平面上就只有极点,称为全极点系统,也称自回归(Autoregressive, AR)系统。
有限z平面上既有零点又有极点的系统,称为零极点系统,又称为自回归滑动平均(Autoregressive moving average,ARMA)系统。
最后
以上就是传统母鸡最近收集整理的关于离散系统的系统函数及系统的频率响应(2-8)的全部内容,更多相关离散系统内容请搜索靠谱客的其他文章。
发表评论 取消回复