目录
一、盒图的图形结构
二、盒图的应用
1.输入三角形三边长、判断三边构成的是等边、等腰,还是一般三角形,请画出此程序对应的N-S图。
2.请用N-S图设计一个计算5的阶乘的程序。
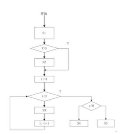
3.请将下列流程图转换成N-S图。
4.请根据下列伪码画出对应的N-S图。
一、盒图的图形结构
Nassi和Shneiderman提出了一种符合结构化程序设计原则的图形描述工具,称为盒图,又称为N-S图(以两个人的名字的第一个字母组成)。在N-S图中,全部算法写在一个大框图内,这个大框图由若干个小的基本框图构成,可以表示顺序、选择和循环三种基本控制结构,如图5.4所示三种图形结构。

(a) 顺序;(b) 选择;(c) CASE多分支;(d) 循环;(e) 调用子程序A 图5.4 盒图的基本符号
(1)顺序型:在顺序型结构中先执行A,后执行B。
(2)选择型:在选择型结构中,如果条件P成立,可执行T下面的内容,当条件P不成立时,则执行F下面的内容;另一种选择型结构中,给出了多出口的判断图形表示,P为控制条件,根据P的取值相应地执行其值下面的各框内容。
(3)WHILE重复型:在WHILE重复型循环结构中先判断P的值,再执行S,其中,P是循环条件,S是循环体;UNTIL重复型循环结构中,先执行S,然后判断P的值。
二、盒图的应用
1.输入三角形三边长、判断三边构成的是等边、等腰,还是一般三角形,请画出此程序对应的N-S图。
2.请用N-S图设计一个计算5的阶乘的程序。


3.请将下列流程图转换成N-S图。

4.请根据下列伪码画出对应的N-S图。
GET(a[1],a[2],...a[10]);
max=a[1];
max2=a[2];
FOR i=2 TO 10
IF a[i]>max
max2=max;
max=a[i];
ELSE
IF a[i]>max2
max2=a[i]
ENDIF
ENDIF
ENDFOR
PUT(max,max2)
END

最后
以上就是聪慧麦片最近收集整理的关于详细设计的工具——盒图(N-S图)一、盒图的图形结构二、盒图的应用的全部内容,更多相关详细设计内容请搜索靠谱客的其他文章。
本图文内容来源于网友提供,作为学习参考使用,或来自网络收集整理,版权属于原作者所有。
发表评论 取消回复