(一)符号对象
一、建立符号对象
1、建立符号变量和符号常量(sym,syms):

只可以建立一个符号变量

可以一次性建立多个符号变量
PS:符号常量计算的结果是精确的数学表达式,而数值常量是进行约分后的常数
2、建立符号表达式:
(1)利用单引号来生成符号表达式:
y='1/sqrt(2*x)'; %符号表达式
g='cos(x^2)-sin(x)=0’ %符号方程
(2)用sym函数建立符号表达式:
Y=sym('3*x'); %符号表达式:
G=sym ('[a,b;c,d]'); %矩阵表达式
(3)使用已经定义的符号变量组成符号表达式
syms x y;
V=3*x^2-5*y+2*x*y+6;
二、符号表达式的计算
1、符号表达式的四则运算
符号表达是的加减乘除运算的实现方法:
(1)使用函数:
%其中f,g为符号表达式
symadd(f,g);%加法
symsub(f,g);%减法
symmul(f,g);%乘法
symdiv(f,g);%除法
sympow(f,g);%幂运算
(2)可以直接使用”+,-,*,/,^“运算符实现运算。
PS:但是MATLAB不一定会化简到最简的形式
2、符号表达式提取分子和分母的运算
[n,d]=numden(s); %s为符号表达是,n为分子,,d为分母
PS:无论s是什么,MATLAB会进行运算,使得s化为一个分式
3、符号表达式的因式分解与展开
factor(s); %对符号表示式分解分解因式
expands(s);%对s进行展开
collect(s);%对s合并同类项
collect(s,v);%对s按变量v合并同类项。
4、符号表达式的化简
simplify(s); %应用函数规则对s进行化简。
simple(s);%调用MATLAB的其他函数对表示式进行综合化简。并显示化简过程
5、符号表达式与数值表达式之间的转换
sym(1.5); %数值表达式转换为符号表达式
numeric('sqrt(5)'); %符号表达式转换为数值表达式
eval('sqrt(5)'); %符号表达式转换为数值表达式
三、符号表达式中变量的确定
findsym(s,n);%返回符号表达式s中的n个符号变量,若没有指定n,则返回s中的全部符号变量。
PS:在求函数的极限导数和积分时:如果用户没有明确指定自变量,MATLAB将按缺省原则findsym(s,1)找到缺省变量(离x最近的符号变量);
四、符号矩阵:
使用sym函数可以建立符号矩阵并化简
m=sym('[1/(a+x),1;2;1/(b+y)'];
对矩阵使用的函数同样可以对符号矩阵使用
transpose(s); %返回s矩阵的转置矩阵
determ(s);%返回s矩阵的行列式值
diag(s);%以矩阵s的元素作为矩阵X的主对角线元素
triu(s);%返回矩阵s上三角矩阵
tril(s);%返回矩阵s下三角矩阵
inv(s);%返回矩阵s的逆矩阵
det(s);%返回矩阵s的行列式的值
rank(s);%返回矩阵的秩
eig(s);%返回矩阵的特征值和特征向量
(二)符号微积分
一、符号极限limit


二、符号导数diff

三、符号积分int

四、积分变换
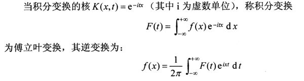
1、傅里叶变换
(1)概念

(2)MATLAB实现
fourier(f,x,t); %求函数f(x)的傅里叶像函数F(t)
ifourier(f,t,x);%求傅里叶像函数F(t)的原函数f(x).
2、拉普拉斯变换
(1)概念

(2)MATLAB实现
laplace(fx,x,t); %求函数f(x)的拉普拉斯像函数F(t)
ilaplace(Fw,t,x);%求拉普拉斯像函数F(t)的原函数f(x)
3、Z变换
(1)概念

(2)MATLAB实现
ztrans(fn,n,z); %求函数f(n)的Z变换像函数F(z)
iztrans(Fz,z,n);%求函数F(z)的Z变换原函数f(n)
(三)级数
一、级数符号求和
symsum(s,v,n,m); %s表示一个技术的通项,是一个符号表达。%v是求和向量%n和m是开始项和末项(m可以取inf)
二、函数的泰勒级数
taylor(f,v,n,a); %将函数f按变量v展开为泰勒级数%展开到第n想为止,n的缺省值为6%a为在何处展开,默认a=0
(四)符号方程求解
一、符号代数方程求解solve

二、符号常微分方程的求解dsolve

最后
以上就是友好芹菜最近收集整理的关于matlab中化简为既约分时,MATLAB学习笔记(九)——MATLAB符号计算的全部内容,更多相关matlab中化简为既约分时内容请搜索靠谱客的其他文章。
发表评论 取消回复