一、BCD码的转换原理
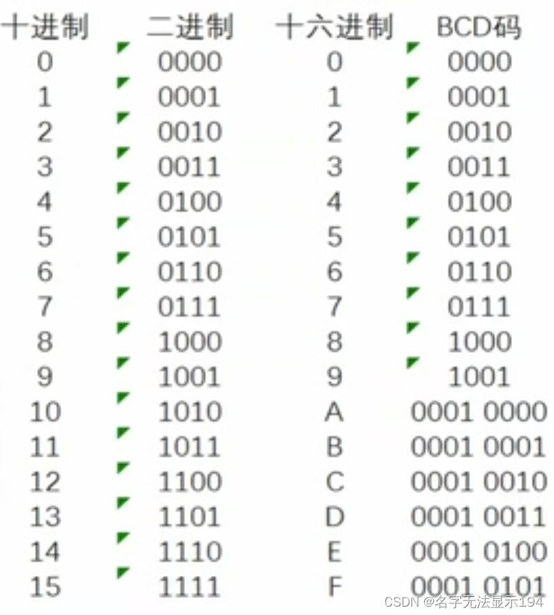
「BCD码」使用 4 位二进制来表示 1 位十进制,即使用 4 个位来存储一个十进制的值,使二进制和十进制之间的转换以快捷的进行。
比如 使用4位二进制 0000 表示 十进制 0 使用4位二进制 0001 表示 十进制 1

8421码又称为BCD码,是十进代码中最常用的一种。在这种编码方式中,每一位二值代码的“1”都代表一个固定数值。将每位“1”所代表的 二进制数加起来就可以得到它所代表的十进制数字。因为代码中从左至右看每一位“1”分别代表数字“8”“4”“2”“1”,故得名8421码。其中每一位 “1”代表的十进制数称为这一位的权。因为每位的权都是固定不变的,所以8421码是恒权码。
5421 BCD码和2421 BCD码。5421 BCD码和2421 BCD码为有权BCD码,它们从高位到低位的权值分别为5、4、2、1和2、4、2、1。这两种有权BCD码中,有的十进制数码存在两种加权方法,例如,5421 BCD码中的数码5,既可以用1000表示,也可以用0101表示;2421BCD码中的数码6,既可以用1100表示,也可以用0110表示。这说明5421BCD码和2421 BCD码的编码方案都不是惟一的。
例如 (255)10=(0010 0101 0101)2
如果两个8421码相加之和小于或等于(1001)2,即(9)10,则不需要修正;如果相加之和大于或者等于(1010)2,即(10)10,则要加6修正。
例如
3+9=12 → 0011+1001+0110(6)=10010 按照bcd码原理(从低向高,缺的位补0) 为0001 0010。
3+5=8 → 0011+0101=1000。
其余BCD码与上述转换方式相同。
余三码则是由8421码的基础上加3
最后
以上就是乐观马里奥最近收集整理的关于BCD码-8421码、5421码、2421码、余3码的全部内容,更多相关BCD码-8421码、5421码、2421码、余3码内容请搜索靠谱客的其他文章。
发表评论 取消回复