2.1 概述
1.只有两种对立逻辑状态的逻辑关系成为二值逻辑。
2.所谓逻辑,在这里是指事物间的因果关系。当两个二进制数码表示不同的逻辑状态时,它们之间可以按照指定的某种因果关系进行推理运算。我们将这种运算成为逻辑运算。
3.1849年英国数学家乔治 布尔首先提出了进行逻辑运算的数学方法布尔代数。也将布尔代数称为开关代数或逻辑代数。本章所讲的逻辑代数就是布尔代数在二值逻辑电路中的应用。
4.逻辑代数中也有字母表示变量,这种变量称为逻辑变量。
5.逻辑运算表示的是逻辑变量以及常量之间逻辑状态的推理运算,而不是数量之间的运算。
2.2逻辑代数中的三种基本运算与(AND),或(OR),非(NOT)三种
1.引入与或非概念:
如上图为三个指示灯的控制电路。
图(a)
只有当两个开关同时闭合时,指示灯才会亮。表明:只有决定事物结果的全部条件同时具备时,结果才会发生。这种因果关系成为逻辑与,或称逻辑相乘。
图(b)
只要有任何一个开关闭合,指示灯就亮。表明:在决定事物结果的诸条件中只要有任何一个满足,结果就会发生。这种因果关系称为逻辑或,也称逻辑相加。
图(c)
开关断开时灯亮,开关闭合时灯反而不亮。表明:只要条件具备了,结果便不会发生;而条件不具备时,结果一定发生。这种因果关系称为逻辑非,也称逻辑求反。
2.引入真值表:
若以A,B表示开关的状态,并以1表示开关闭合,以0表示开关断开;以Y表示指示灯的状态,并以1表示灯亮,以0表示不亮,则可以列出以0,1表示的与,或,非逻辑关系的图表。如下图。这种图表称为逻辑真值表,简称真值表。

3.引入运算符号以及图形符号
(1)运算符号:
在逻辑代数中,将与,或,非看做是逻辑变量A,B间的三种最基本的逻辑运算。
A和B进行与逻辑运算时可写成:

A和B进行或逻辑运算时可写成:

对A进行非逻辑运算时可写成:

同时,将实现与逻辑运算的单元电路称为与门;
将实现或逻辑运算的单元电路称为或门;
将实现非逻辑运算的单元电路称为非门(也称为反相器)。
(2)图形符号:
用特定外形符号这套的比较多,咱也就用这个了。个人感觉还好记还好看!
4.进阶版:看看复合逻辑运算:
实际的逻辑问题往往比与,或,非复杂的多,不过他们都可以用于,或,非的组合来实现。
(1)与非(NAND)
定义:将A,B先进行与运算,然后将结果求反,最后得到的即为A,B的与非运算结果。
1.真值表:

2.图形符号及运算符号:

(2)或非(NOR)
定义:将A,B先进行或运算,然后将结果求反,最后得到的即为A,B的或非运算结果。
1.真值表:

2.图形符号及运算符号:

(3)与或非(AND-NOR)
定义:在与或非逻辑中,A,B之间以及C,D之间都是与的关系,只要A,B或C,D任何一组同时为1,输出Y就是0;只有当每一组输入都不全是1时,输出Y才是1。
1.真值表:

2.运算符号及图形符号:

(4)异或(EXCLUSIVE OR)
定义:当A,B不同时,输出Y为1;而当A,B相同时,输出Y为0。也可以用与,或,非的组合表示:

#####1.真值表:

2.图形符号及运算符号:

(5)同或(EXCLUSIVE NOR)
定义:同或和异或相反,当A,B相同时,Y等于1;当A,B不同时,Y等于0.同或也可以写成与,或,非的组合形式:

#####1.真值表:

2.图形符号及运算符号:

小知识点:
异或和同或互为反运算,即:

2.3逻辑代数的基本公式和常用公式
1.基本公式:

(1)式1,2,11和12给出了变量与常量间的运算规则。
(2)式3和13是同一变量的运算规律,也称为重叠律。
(3)式4和14表示变量与它的反变量之间的运算规律,也称为互补律。
(4)式5和15为交换律; 式6和16为结合律;式7和17为分配律。
(5)式8和18是著名的德摩根定理,亦称反演律。在逻辑函数的化简和交换中经常要用到这一对公式。
(6)式9表明,一个变量经过两次求反运算之后还原为其本身,所以该式称为还原律。
(7)式10是对0和1求反运算的规则,它表明0和1互为求反的结果。
小知识点:
1.公式的正确性可以使用列真值表的方法加以验证。如果等式成立,那么将任何一组变量的取值带入公式两边所得的结果应该相等。因此,等式两边所对应的真值表也必然相同。
2.仔细观察可知:公式1和11;2和12;3和13;4和14;5和15;6和16;7和17;8和18皆为对偶式。因此,只要证明公式1到8成立,则公式11到18已无需另做证明了。
2.若干常用公式:(这些公式是利用基本公式导出的!)

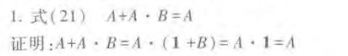
(1)式21的证明:

上式说明:在两个乘积项相加时,若其中一项以另一项为因子,则该项是多余的,可以删去。
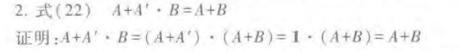
(2)式22的证明:
上式表明:两个乘积项相加时,如果一项取反后是另一项的因子,则此因子是多余的,可以消去。
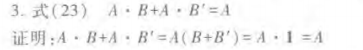
(3)式23的证明:

上式表明:当两个乘积项相加时,若它们分别包含B和B’两个因子而其他因子相同,则两项定能合并,且可将B和B’两个因子消去。
(4)式24的证明:

上式表明:变量A和包含A的和相乘时,其结果等于A,即可以将和消掉。
(5)式25的证明;

上式表明:若两个乘积项中分别包含A和A’两个因子,而这两个乘积项的其余因子组成第三个乘积项时,则第三个乘积项是多余的,可以消去。
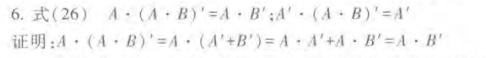
(6)式26的证明:

上式说明:当A和一个乘积项的非相乘,且A为乘积项的因子时,则A这个因子可以消去。
上式表明:当A‘和一个乘积项的非相乘,且A为乘积项的因子时,其结果就等于A’。
2.4逻辑代数的基本定理
1.代入定理
代入定理:在任何一个包含变量A的逻辑等式中,若以另外一个逻辑式代入式中所有A的位置,则等式仍然成立。
(1)理解:
因为变量A仅有0和1两种可能的状态,所有无论将A=0还是A=1代入逻辑等式,等式都一定成立。而任何一个逻辑式的取值也不外0和1两种,所以用它取代式中的A时,等式自然也成立。所以,可以将此定理看成无需证明的公理。
(2)例子:(以德摩根定理为例)

小知识点:
对一个乘积项或逻辑式求反时,应在乘积项或逻辑式外边加括号,然后对括号内的整个内容求反。
此外,在对复杂的逻辑式进行运算时,仍需遵守与普通代数一样的运算优先顺序,即先算括号里的内容,其次算乘法,最后算加法。
2.反演定理

例1:

例2:

3.对偶定理
注意:和反演定理的区别是:反演定理还有原变量变为反变量,反变量变为原变量!!!

例子:

最后
以上就是害羞乌冬面最近收集整理的关于程序猿必备的数电知识之(逻辑代数基础前半篇)2.1 概述2.2逻辑代数中的三种基本运算与(AND),或(OR),非(NOT)三种2.3逻辑代数的基本公式和常用公式2.4逻辑代数的基本定理的全部内容,更多相关程序猿必备的数电知识之(逻辑代数基础前半篇)2.1内容请搜索靠谱客的其他文章。
发表评论 取消回复