一 字符串分割
matlab中最常用的字符串分割函数有两个,都比较好用,分别是strsplit和strtok。
1 strsplit
假设需要分割的字符串为str,直接使用 strsplit(str) 就可以分割,默认按空白字符分割,分割后的字符组成元胞数组。
>> str = ‘hello world, I am a student!‘
str =
hello world, I am a student!
>> s = strsplit(str);
>> s
s =
1×6 cell 数组
‘hello‘ ‘world,‘ ‘I‘ ‘am‘ ‘a‘ ‘student!‘
>> s{1,1}
ans =
hello
>> s{1,2}
ans =
world,
>>
strsplit的第二个参数可以是分割字符,比如用‘,‘或者‘.‘或者‘-‘等进行字符串的分割,第二个参数甚至可以是包含多个分割字符的元胞数组,如下
>> str = ‘With,the,development,of,society.people-have-higher-requirements-for-image-quality‘
str =
With,the,development,of,society.people-have-higher-requirements-for-image-quality
>> s1 = strsplit(str,‘,‘)
s1 =
1×5 cell 数组
‘With‘ ‘the‘ ‘development‘ ‘of‘ ‘society.people-have-…‘
>> s1{1,5}
ans =
society.people-have-higher-requirements-for-image-quality
>> s2 = strsplit(str,‘-‘)
s2 =
1×7 cell 数组
‘With,the,developm…‘ ‘have‘ ‘higher‘ ‘requirements‘ ‘for‘ ‘image‘ ‘quality‘
>> s3 = strsplit(str,‘.‘)
s3 =
1×2 cell 数组
‘With,the,development,of,society‘ ‘people-have-higher-requirements-for-image-quality‘
>> s4 = strsplit(str,{‘,‘,‘.‘,‘-‘})
s4 =
1×12 cell 数组
1 至 11 列
‘With‘ ‘the‘ ‘development‘ ‘of‘ ‘society‘ ‘people‘ ‘have‘ ‘higher‘ ‘requirements‘ ‘for‘ ‘image‘
12 列
‘quality‘
>>
strsplit=最多可以有两个返回值,第二个返回值是匹配到的分割字符。
[s1,s2] = strsplit(str,‘.‘)
s1 =
1×2 cell 数组
‘With,the,development,of,society‘ ‘people-have-higher-requirements-for-image-quality‘
s2 =
cell
‘.‘
>> [s1,s2] = strsplit(str,‘,‘)
s1 =
1×5 cell 数组
‘With‘ ‘the‘ ‘development‘ ‘of‘ ‘society.people-have…‘
s2 =
1×4 cell 数组
‘,‘ ‘,‘ ‘,‘ ‘,‘
>> [s1,s2,s3] = strsplit(str,‘,‘)
错误使用 strsplit
输出参数太多。
strsplit还可以有参数‘DelimiterType‘,当值为‘RegularExpression‘时,将分隔字符串按照正则表达式理解。
>> str = ‘ab1cd2ef3gh4ij5kl6mn7.‘
str =
ab1cd2ef3gh4ij5kl6mn7.
>> s = strsplit(str,‘[0-9]‘,‘DelimiterType‘,‘RegularExpression‘)
s =
1×8 cell 数组
‘ab‘ ‘cd‘ ‘ef‘ ‘gh‘ ‘ij‘ ‘kl‘ ‘mn‘ ‘.‘
>> [s1,s2] = strsplit(str,‘[0-9]‘,‘DelimiterType‘,‘RegularExpression‘)
s1 =
1×8 cell 数组
‘ab‘ ‘cd‘ ‘ef‘ ‘gh‘ ‘ij‘ ‘kl‘ ‘mn‘ ‘.‘
s2 =
1×7 cell 数组
‘1‘ ‘2‘ ‘3‘ ‘4‘ ‘5‘ ‘6‘ ‘7‘
>>
2 strtok函数
strtok一般只分成两部分,默认会在从头开始遇到的第一个空格/tab/换行符处断开,也可以指定分割字符。
>> str = ‘hello world, i am a student‘
str =
hello world, i am a student
>> s1 = strtok(str)
s1 =
hello
>> s2 = strtok(str,‘,‘)
s2 =
hello world
strtok可以有两个返回值,第一个是分割后的前一部分,第二个是分割后的剩余部分(包括分割字符)。
>> [s3 s4] = strtok(str)
s3 =
hello
s4 =
world, i am a student
>> [s3 s4] = strtok(str,‘,‘)
s3 =
hello world
s4 =
, i am a student
strtok的输入也可以是元胞数组,返回的两个返回值也是对应的元胞数组。
>> str = {‘hello world‘;‘good job‘}
str =
2×1 cell 数组
‘hello world‘
‘good job‘
>> [s1 s2] = strtok(str)
s1 =
2×1 cell 数组
‘hello‘
‘good‘
s2 =
2×1 cell 数组
‘ world‘
‘ job‘
>>
二 将工作区的变量写入txt文本中
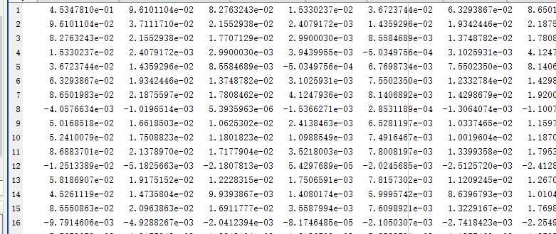
这里指的是将mat中的矩阵按一定格式存入txt文本中,在数据处理中经常用到,直接粘贴复制的话比较麻烦而且未必满足格式,比如我有一个名为cov_prisparam的mat文件,是一个36*36的double矩阵。如下

我想要将其写入txt文件中,并且用逗号分割。如果直接用save存的话会出现乱码,save(‘li.txt‘,‘cov_prisparam‘)

查了一下才知道要加参数ascii,这样就可以了,save(‘li.txt‘,‘cov_prisparam‘,‘-ascii‘)

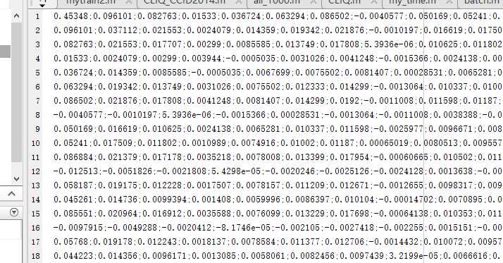
但是他的格式都被统一成科学计数法了,而且是文本形式,这样显然不方便数据的调用,后来查到一个非常好用的函数dlmwrite,dlmwrite(‘li.txt‘,cov_prisparam),默认分割符是逗号。

也可以指定其他分隔符,比如分号或者空格等,dlmwrite(‘li.txt‘,cov_prisparam,‘;‘)

原文:https://www.cnblogs.com/libai123456/p/12189808.html
最后
以上就是时尚万宝路最近收集整理的关于matlab将几个字符串组保存在txt,matlab中字符串分割以及将工作区的变量写入txt文本中...的全部内容,更多相关matlab将几个字符串组保存在txt,matlab中字符串分割以及将工作区内容请搜索靠谱客的其他文章。
发表评论 取消回复