雷达发射机是雷达系统的一个重要组成部分,它产生满足要求的大功率射频发射信号,经馈线系统再由天线辐射出去,从而照射远处目标。典型脉冲雷达框图如下,其中发射机(Transmitter)主要由三部分组成:高压电源,脉冲调制器和射频放大器。

发射机性能的好坏直接影响雷达整机的性能和质量,首先发射的电磁波信号必须具备一定的发射功率,对于不同体制和不同任务的雷达,发射机功率量级差别很大。例如,脉冲雷达的峰值功率可达到兆瓦级,而连续波雷达功率几十瓦就已经很高了。雷达发射机输出功率的大小将直接影响雷达的探测威力,通常可分为峰值功率和平均功率。

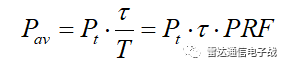
通常规定发射机送至天线输入端的功率为发射机的输出功率,峰值功率指脉冲期间射频振荡的平均功率,用Pt表示;而平均功率则是脉冲重复周期(PRI)输出功率的平均值,常用Pav表示。对于脉冲体制雷达发射的简单矩形脉冲列来说,峰值功率和平均功率有如下关系:

其中T表示脉冲重复周期,τ表示脉冲宽度。由于平均功率是决定雷达潜在探测距离的一个关键因素,雷达发射总能量等于平均功率乘以时间。
之前有人问:对于相参雷达,在不改变雷达设备硬件的基础下,怎么提高探测距离?
这里从雷达发射机的角度给出几个考虑:不改变雷达设备,说明峰值功率功率也已调制最高了,那么可以做的一种方法是:提高雷达的占空比,也就是要么增大脉冲宽度,要么增大PRF,或者都增加;另外,多个脉冲积累会有效提高信噪比,从而改善雷达对目标的发现能力,也就是提高积累时间来获得更多的发射能量。
对于这个问题还需要结合具体的雷达和修正后的雷达方程来分析哪些参数是不能变的,哪些参数是方便改变的。若你也有其他方面的考虑,可以在文后留言告诉我们。修正的雷达方程相关知识可见:
修正的雷达探测威力图对于发射电磁波信号的另一个特点是载波受到了调制,简单的如矩形脉冲,线性调频矩形脉冲,复杂的如相位编码信号,复杂的脉内和脉间调制信号等。雷达的许多性能是与信号形式相关的。

例如早期的雷达发射的是载频固定的矩形调制脉冲,信号的时宽和带宽的乘积等于1,这就使增加时宽或带宽来获得速度或距离分辨率成为了一对相互制约的矛盾,而采用大时宽带宽积的复杂发射信号的脉冲压缩技术则解决了这对矛盾。
另外,复杂的发射信号虽然提高了雷达的复杂度和成本,也在对抗杂波和干扰的能力方面却提高了很多。和发射机相关的基础知识还有很多,我们在这周会陆续和大家交流,共同学习,感谢大家的持续关注!
基于Matlab的雷达信号的模糊函数仿真
雷达系统导论第十讲:雷达发射机与接收机
对于上面的问题你有什么需要补充的吗,欢迎在下方留言告诉我们,若你有发射机方面相关的问题,可以在下面提问,我们会综合考虑后给与回答和交流:
对于相参雷达,在不改变雷达设备硬件的基础下,怎么提高雷达的探测距离?
最后
以上就是激昂衬衫最近收集整理的关于matlab中的方波信号图片_雷达发射机(1):功率和信号的全部内容,更多相关matlab中内容请搜索靠谱客的其他文章。
发表评论 取消回复