相比于直线检测,直线拟合的最大特点是将所有数据只拟合出一条直线

void fitLine( InputArray points, OutputArray line, int distType,
double param, double reps, double aeps );
- points:输入待拟合直线的2D或者3D点集。
- line:输出描述直线的参数,2D点集描述参数为Vec4f类型,3D点集描述参数为Vec6f类型。
- distType:M-estimator算法使用的距离类型标志,可以选择的距离类型在表7-1中给出。
- param:某些类型距离的数值参数(C)。如果数值为0,则自动选择最佳值。
- reps:坐标原点与直线之间的距离精度,数值0表示选择自适应参数,一般常选择0.01。
- aeps:直线角度精度,数值0表示选择自适应参数,一般常选择0.01。
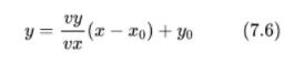
该函数利用最小二乘法拟合出距离所有点距离最小的直线,直线的描述形式可以转化成点斜式。函数第一个参数是待拟合直线的2D或者3D点集,可以存放在vector<>或者Mat类型的变量中赋值给参数。函数第二个参数是拟合直线的描述参数,如果是2D点集,输出量为Vec4f类型的(vx vy x0 y0),其中(vx vy)是与直线共线的归一化向量,(x0 y0)是拟合直线上的随意一点,根据这四个量可以计算得到2维平面直线的点斜式解析式,表示形式如式所示。

如果输入参数是3D点集,输出量为Vec6f类型的(vx vy vz x0 y0 z0),其中(vx vy vz)是与直线共线的归一化向量,(x0 y0 z0)是拟合直线上的随意一点。函数第三个参数是M-estimator算法使用的距离类型标志,可以选择的距离类型在表中给出。函数第四个参数是某些距离类型中的数值参数C,如果数值0表示选择最佳值。函数第五个参数表示坐标原点与拟合直线之间的距离精度,数值0表示选择自适应参数;函数第六个参数表示拟合直线的角度精度,数值0表示选择自适应参数。第五个参数和第六个参数一般取值0.01。

简单示例
//
// Created by smallflyfly on 2021/6/22.
//
#include "opencv2/opencv.hpp"
#include <iostream>
using namespace std;
using namespace cv;
int main() {
Vec4f lines;
vector<Point2f> points;
const static float pts[20][2] = {
{0.0f,0.0f},{10.0f,11.0f},{21.0f,20.0f},{30.0f,30.0f},
{40.0f,42.0f},{50.0f,50.0f},{60.0f,60.0f},{70.0f,70.0f},
{80.0f,80.0f},{90.0f,92.0f},{100.0f,100.0f},{110.0f,110.0f},
{120.f,120.0f},{136.0f,130.0f},{138.0f,140.0f},{150.0f,150.0f},
{160.0f,163.0f},{175.0f,170.0f},{181.0f,180.0f},{200.0f,190.0f}
};
for (int i = 0; i < 20; ++i) {
points.emplace_back(pts[i][0], pts[i][1]);
}
double param = 0.0;
double reps = 0.01;
double aeps = 0.01;
fitLine(points, lines, DIST_L1, param, reps, aeps);
cout << lines << endl;
return 0;
}
以上就是本文的全部内容,希望对大家的学习有所帮助,也希望大家多多支持靠谱客。
最后
以上就是高大大山最近收集整理的关于OpenCV实现直线拟合的全部内容,更多相关OpenCV实现直线拟合内容请搜索靠谱客的其他文章。
本图文内容来源于网友提供,作为学习参考使用,或来自网络收集整理,版权属于原作者所有。
发表评论 取消回复