Python说来简单也简单,但是也不简单,尤其是再跟高数结合起来的时候。。。
正态分布(Normaldistribution),也称“常态分布”,又名高斯分布(Gaussiandistribution),最早由A.棣莫弗在求二项分布的渐近公式中得到。C.F.高斯在研究测量误差时从另一个角度导出了它。P.S.拉普拉斯和高斯研究了它的性质。是一个在数学、物理及工程等领域都非常重要的概率分布,在统计学的许多方面有着重大的影响力。
正态曲线呈钟型,两头低,中间高,左右对称因其曲线呈钟形,因此人们又经常称之为钟形曲线。
若随机变量X服从一个数学期望为μ、方差为σ^2的正态分布,记为
N(μ,σ^2)
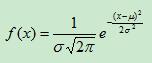
其概率密度函数为正态分布的期望值μ决定了其位置,其标准差σ决定了分布的幅度。当μ=0,σ=1时的正态分布是标准正态分布。其概率密度函数为:

我们通常所说的标准正态分布是
的正态分布:

概率密度函数


代码实现:
# Python实现正态分布 # 绘制正态分布概率密度函数 u = 0 # 均值μ u01 = -2 sig = math.sqrt(0.2) # 标准差δ sig01 = math.sqrt(1) sig02 = math.sqrt(5) sig_u01 = math.sqrt(0.5) x = np.linspace(u - 3*sig, u + 3*sig, 50) x_01 = np.linspace(u - 6 * sig, u + 6 * sig, 50) x_02 = np.linspace(u - 10 * sig, u + 10 * sig, 50) x_u01 = np.linspace(u - 10 * sig, u + 1 * sig, 50) y_sig = np.exp(-(x - u) ** 2 /(2* sig **2))/(math.sqrt(2*math.pi)*sig) y_sig01 = np.exp(-(x_01 - u) ** 2 /(2* sig01 **2))/(math.sqrt(2*math.pi)*sig01) y_sig02 = np.exp(-(x_02 - u) ** 2 / (2 * sig02 ** 2)) / (math.sqrt(2 * math.pi) * sig02) y_sig_u01 = np.exp(-(x_u01 - u01) ** 2 / (2 * sig_u01 ** 2)) / (math.sqrt(2 * math.pi) * sig_u01) plt.plot(x, y_sig, "r-", linewidth=2) plt.plot(x_01, y_sig01, "g-", linewidth=2) plt.plot(x_02, y_sig02, "b-", linewidth=2) plt.plot(x_u01, y_sig_u01, "m-", linewidth=2) # plt.plot(x, y, 'r-', x, y, 'go', linewidth=2,markersize=8) plt.grid(True) plt.show()
总结
以上就是本文关于Python数据可视化正态分布简单分析及实现代码的全部内容,希望对大家有所帮助。感兴趣的朋友可以继续参阅本站其他Python和算法相关专题,如有不足之处,欢迎留言指出。感谢朋友们对本站的支持!
最后
以上就是刻苦羽毛最近收集整理的关于Python数据可视化正态分布简单分析及实现代码的全部内容,更多相关Python数据可视化正态分布简单分析及实现代码内容请搜索靠谱客的其他文章。
本图文内容来源于网友提供,作为学习参考使用,或来自网络收集整理,版权属于原作者所有。
发表评论 取消回复