我是
靠谱客的博主
跳跃大侠,这篇文章主要介绍
四元素转欧拉角,现在分享给大家,希望可以做个参考。
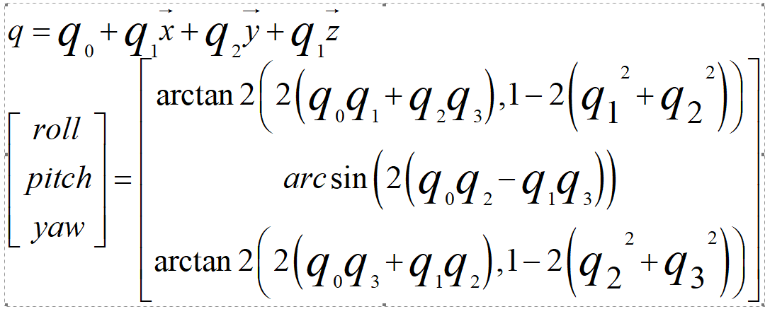
四元素Quaternion转欧拉角(yaw,pitch,roll)
参考:
1、原理
推荐
中文翻译
原文
2、转换公式
3、python代码实现
关键:
1、搞清四元素的起源:为了表示3维空间点的旋转
2、转换公式
一、复数与二维平面点的旋转

二、四元素表示3维空间点的旋转

三、ZYX顺序旋转转换公式

其中:

最后
以上就是跳跃大侠最近收集整理的关于四元素转欧拉角的全部内容,更多相关四元素转欧拉角内容请搜索靠谱客的其他文章。
本图文内容来源于网友提供,作为学习参考使用,或来自网络收集整理,版权属于原作者所有。
发表评论 取消回复