目录
Lecture 01·Overview of Computer Graphics
1) 什么是计算机图形学
2) 为什么学计算机图形学
a) 计算机图形学的应用
b) 学习时面临的挑战
c) 技术方面的挑战
3) 课程大纲
a) 光栅化(Rasterization)
b) 曲线与网格(Curves and Meshes)
c) 光线追踪(Ray Tracing)
d) 动画/仿真(Animation/ Simulation)
Lecture 02·Review of Linear Algebra
1) 图形学依赖的工具
a) 数学基础
b) 物理基础
c) 杂项
2)向量
a)向量的一些简单操作
b)向量的乘法
3)矩阵
a)矩阵的定义以及和标量的运算
b)矩阵的乘积
c)矩阵的运算律
d)矩阵和向量运算
e)矩阵转置
f)单位矩阵和逆矩阵
g)向量乘法的矩阵形式
Lecture 01·Overview of Computer Graphics
1) 什么是计算机图形学
利用计算机合成和操作视觉信息

2) 为什么学计算机图形学
a) 计算机图形学的应用
如何判断一个游戏画面的质量是高还是低?如何从图形学的角度区分卡通与写实的画风?如何表达电影/动画中的特效?在图形学中怎样表达一个几何曲面?如何将三维物体在计算机中重现(可视化)?如何描述插值?如何实现模拟仿真?如何设计图形用户界面(GUI)?
以上都是图形学的研究方向,图形学的应用包括Video Games、Movies、Animations、Design、Visualization……



b) 学习时面临的挑战
-
创建一个逼真的虚拟世界并与之交互
-
对现实世界各方面的深刻了解
-
新的计算方法、显示方法以及科技手段

c) 技术方面的挑战
-
数学上的投影、曲线等
-
物理光照着色
-
三维物体的表达和操作
-
动画仿真

3) 课程大纲
a) 光栅化(Rasterization)
b) 曲线与网格(Curves and Meshes)

c) 光线追踪(Ray Tracing)

d) 动画/仿真(Animation/ Simulation)
图形学与计算机视觉的区别(GAMES101不涉及计算机视觉):

Lecture 02·Review of Linear Algebra
1) 图形学依赖的工具
a) 数学基础
线性代数、微积分、统计学
b) 物理基础
光学、力学
c) 杂项
信号处理、数值分析
当然图形学还需要一定的美学

2)向量
和高中学习的向量一样,图形学中向量也是两个点的坐标的差,表示一个点指向另一个点的方向,有长度大小,且方向和长度与位置无关

a)向量的一些简单操作
向量的长度表示如下图,我们可以用任意向量的每个分量除以向量的长度得到它的单位向量,单位向量在表现方向时很常用
向量相加在几何上一般使用平行四边形法则和三角形法则,在代数上则是简单的各分量相加
在笛卡尔坐标系中,任何向量都可以用两个正交的单位向量表示,并且图形学中默认使用列向量

b)向量的乘法
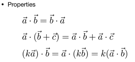
向量点乘得到的是一个标量,两个单位向量点乘得到的是它们的夹角余弦值
向量点乘的运算律
向量点乘在笛卡尔坐标系中的使用
向量点乘在图形学中的应用,主要用于计算两向量之间的夹角(如光源和反射面之间的夹角),以及一个向量在另一个向量方向上的投影
向量投影在图形学中的作用
-
测量两个向量之间的接近程度
-
沿平行和垂直方向分解向量
-
通过点乘结果的正负判断同向 / 反向
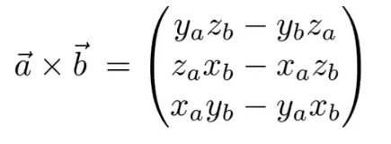
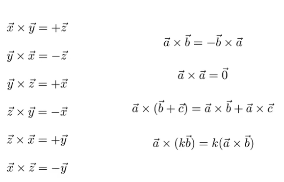
向量叉乘得到的是一个矢量,该矢量方向一定正交于两向量,并且满足右手定则

向量叉乘的运算律(本课中使用的为右手坐标系)
向量叉乘的计算

向量叉乘在图形学中的作用
-
判断左和右
-
判断内与外
任何一个三维向量都可以由三个相互正交的单位向量表示

3)矩阵
a)矩阵的定义以及和标量的运算
b)矩阵的乘积
可以用宋浩老师的口诀“两边相等取中间”
c)矩阵的运算律
没有交换律,但有结合律和分配律
d)矩阵和向量运算
将向量看作只有一列的矩阵
e)矩阵转置
f)单位矩阵和逆矩阵
g)向量乘法的矩阵形式
课程传送门:
Lecture 01 Overview of Computer Graphics_哔哩哔哩_bilibili
Lecture 02 Review of Linear Algebra_哔哩哔哩_bilibili
最后
以上就是淡然白昼最近收集整理的关于《GAMES101-现代计算机图形学入门》-01~02学习笔记Lecture 01·Overview of Computer Graphics1) 什么是计算机图形学2) 为什么学计算机图形学3) 课程大纲Lecture 02·Review of Linear Algebra1) 图形学依赖的工具2)向量3)矩阵的全部内容,更多相关《GAMES101-现代计算机图形学入门》-01~02学习笔记Lecture内容请搜索靠谱客的其他文章。
发表评论 取消回复