我是靠谱客的博主 忧伤母鸡,这篇文章主要介绍virtuoso根据原理图绘制版图并联接_自动控制原理 2.3.1什么是系统结构图,如何绘制结构图...,现在分享给大家,希望可以做个参考。

什么是系统结构图,如何绘制结构图

1,系统结构图的组成和绘制

控制系统结构图是由许多对信号进行单向运算的方框和一些信号流向线组成,它包含四种基本单元:

信号线:信号线是带有箭头的直线,箭头表示信号的流向,在直线旁标记信号的时间函数或象函数;

引出点(测量点):引出点表示信号引出或测量的位置,从一个位置引出的信号在数值和性质方面完全相同。

比较点(综合点):比较点表示对两个以上的信号进行加减运算,“+”表示相加,“-”表示相间,省略加减号默认为相加;

方框(环节):方框表示对信号进行数学变换,方框中写入元件或系统的传递函数,可视为单向运算的算子;

a8b97a05eaa24a5b946e3a4a69d4360a.png

绘制系统结构图时,首先考虑负载效应分别列写系统各元部件的微分方程或传递函数,并将它们用方框表示,然后,根据各元部件的信号流向,用信号线依次将各方框连接便得到系统的结构图。

系统结构图实质上是系统原理图与数学方程两者的结合,既补充了原理图中所缺少的定量描述,又避免了纯数学的抽象运算。从结构图上可以用方框进行数学运算,也可以直观了解各元部件的相互关系及其在系统中的作用,最重要的是从系统结构图可以方便的求得系统的传递函数。所以,系统结构图也是控制系统的一种重要数学模型

122ef544d1df29b105d3d0e8b38f3a43.png

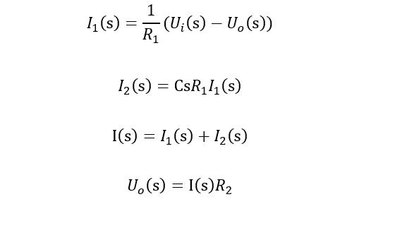
应用复阻抗运算法,根据电路原理列写方程:

2e60e3f443037013034720afe70aef10.png

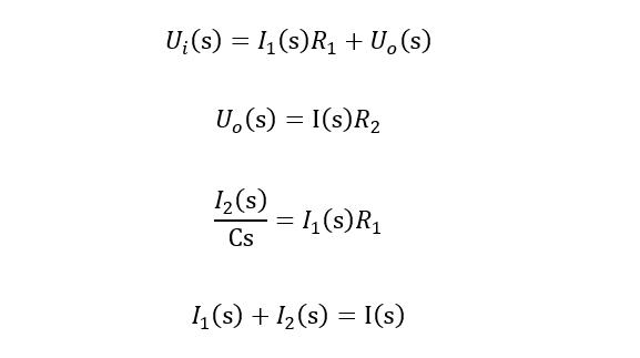
首先,按信号的流向,电压Ui在最左边,Uo在最右边。电流的流向是从Ui流向Uo。

按照信号的流向,把输入量放在公式右侧,输出量放在公式左侧,重新整理上述公式:

2974dc35feb016001daef919ff610205.png

然后,分别画出相应元件对应的方框图。

76975ae33a7f9300d340d344f1bfa0d9.png
7c0676ed6093c2d875ee4c451813c17f.png
7f4f879126f51dd6676cc9b935249801.png

最后,用信号线按信号流向依次将各方框连接起来,得到无源网络结构图:

dad58c31c3cc652d9be3ec2376d140ac.png

最后

以上就是忧伤母鸡最近收集整理的关于virtuoso根据原理图绘制版图并联接_自动控制原理 2.3.1什么是系统结构图,如何绘制结构图...的全部内容,更多相关virtuoso根据原理图绘制版图并联接_自动控制原理内容请搜索靠谱客的其他文章。

本图文内容来源于网友提供,作为学习参考使用,或来自网络收集整理,版权属于原作者所有。
点赞(260)

评论列表共有 0 条评论

立即
投稿
返回
顶部