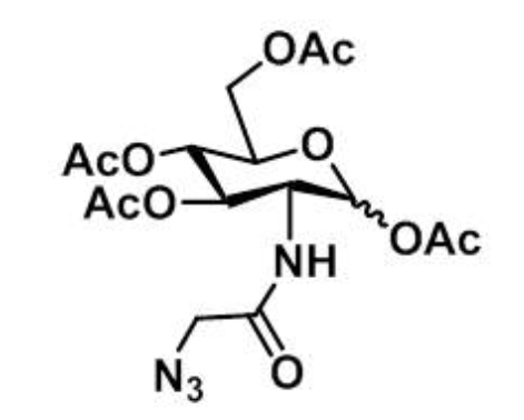
英文名称:Ac4GIcNAz
N-Azidoacetylglucosamine, Acetylated
N-azidoacetylglucosamine-tetraacylated
中文名称:叠氮修饰葡萄糖
N-乙酰葡糖胺叠氮基
2-[(叠氮乙酰基)氨基]-2-脱氧-D-吡喃葡萄糖 1,3,4,6-四乙酸酯
CAS No:98924-81-3
分子式: C16H22N4O10
分子量: 430.37
纯 度:≥ 98%
结构式:

产品简介:
含有单糖的非天然叠氮化合物。叠氮化物部分可通过化学选择性连接化学修饰,包括CuAAC、Cu自由键合反应或Staudinger连接。乙酰基增加了在许多溶剂中的溶解度,使这种试剂的处理更容易。
The tetraacetylatedN-Azidoacetyl-glucosamine (Ac4GlcNAz) provides a non-radioactive alternativefor glycoconjugate visualization. It is cell-permeable, intracellularlyprocessed and incorporated instead of its natural monosaccharide counterpartN-Acetylglucosamine(GlcNAc).
The resulting Azide-functionalizedglycoconjugates can subsequently be detected via Cu(I)-catalyzed or Cu(I)-freeClick Chemistry that offers the choice to introduce a Biotin group (via Azidesof Biotin or DBCO-containing Biotin, respectively) for subsequent purificationtasks or to introduce fluorescent group (via Azides of fluorescent dyes orDBCO-containing fluorescent dyes, respectively) for subsequent microscopicimaging.
相关产品:
21085-72-3 1-溴代-2,3,4-三-O-乙酰基-α-D-葡萄糖醛酸甲酯
144218-98-4 乙基 2-乙酰氨基-3,4,6-三-O-乙酰基-2-脱氧-β-?D-硫代吡喃半乳糖苷
10022-13-6 1,3,4,6-四-O-乙酰基-2-脱氧-2-邻苯二甲酰亚氨基-β-D-吡喃葡萄糖苷
13100-46-4 1,2,3,4-四-O-乙酰基-β-D-吡喃葡萄糖
102816-25-1 3,4,6-三-O-乙酰基-2-脱氧-2-邻苯二甲酰亚胺基-??α-D-叠氮化吡喃葡萄糖
1404472-50-9 1,3,4,6-四-氧-乙酰基-2-[(叠氮乙酰基)氨基]-2-脱氧-β-D-吡喃半乳糖
3150-20-7 4-甲氧基苯基 β-D-吡喃半乳糖苷
59935-49-8 苄基 2,3,4-三-O-苄基-α-D-吡喃葡萄糖苷
10034-20-5 1,3,4,6-四-O-乙酰基-β-D-氨基葡萄糖盐酸盐
1399861-03-0 ε-N-巴豆酰基赖氨酸
20513-98-8 1,2-O-亚异丙基-α-D-葡糖醛酸-6,3-内酯
69075-42-9 5-乙炔基尿苷
92659-90-0 2-[(叠氮基乙酰基)氨基]-2-脱氧-D-葡萄糖
7107-59-7 苄基 N-(4-羟基苯基)-氨基甲酸酯
65864-60-0 2,3,4,6-四-O-乙酰基-β-D-叠氮化吡喃甘露糖
869186-83-4 2-[(叠氮乙酰基)氨基]-2-脱氧-D-吡喃半乳糖
494-08-6 4-(β-D-葡萄糖氧基)-3-甲氧基苯醛
114861-22-2 1,2-O-亚异丙基-α-L-呋喃木糖
121584-52-9 6-[(3R,4R)-3-(乙酰氧基)-N,4-二甲基-6-氧代-L-正亮氨酸]环孢菌素A
13533-58-9 乙基 α-D-硫代葡萄糖苷
2872-65-3 4-甲氧基苯基 2,3,4,6-四-O-乙酰基-β-D-吡喃半乳糖苷
116783-35-8 N-芴甲氧羰基-O-(2-乙酰氨基-2-脱氧-3,4,6-三-O-乙酰基-α-D-吡喃半乳糖基)-L-苏氨酸
以上信息均由陕西新研博美生物科技有限公司提供技术支持
最后
以上就是甜美康乃馨最近收集整理的关于98924-81-3,Ac4GIcNAz,叠氮修饰葡萄糖含有单糖的非天然叠氮化合物的全部内容,更多相关98924-81-3,Ac4GIcNAz,叠氮修饰葡萄糖含有单糖内容请搜索靠谱客的其他文章。
发表评论 取消回复