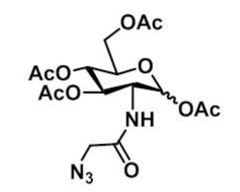
英文名称:Ac4GIcNAz
N-Azidoacetylglucosamine, Acetylated
N-azidoacetylglucosamine-tetraacylated
中文名称:叠氮修饰葡萄糖
N-乙酰葡糖胺叠氮基
2-[(叠氮乙酰基)氨基]-2-脱氧-D-吡喃葡萄糖 1,3,4,6-四乙酸酯
CAS No:98924-81-3
分子式: C16H22N4O10
分子量: 430.37
纯 度:≥ 98%
结构式:

产品简介:
The tetraacetylatedN-Azidoacetyl-glucosamine (Ac4GlcNAz) provides a non-radioactive alternativefor glycoconjugate visualization. It is cell-permeable, intracellularlyprocessed and incorporated instead of its natural monosaccharide counterpartN-Acetylglucosamine(GlcNAc).
The resulting Azide-functionalizedglycoconjugates can subsequently be detect
最后
以上就是明理书本最近收集整理的关于98924-81-3, N-azidoacetylglucosamine-tetraacylated 叠氮修饰葡萄糖的全部内容,更多相关98924-81-3,内容请搜索靠谱客的其他文章。
本图文内容来源于网友提供,作为学习参考使用,或来自网络收集整理,版权属于原作者所有。
发表评论 取消回复