SiR-PEG4-BCN 硅基罗丹明-四聚乙二醇-环丙烷环辛炔
产品英文名称:SiR-PEG4-BCN
产品中文名称:硅基罗丹明-四聚乙二醇-环丙烷环辛炔
外观:实心
分子式:C48H62N4O9Si
分子量:867.13
储存条件:-20°C,在黑暗中
结构式:

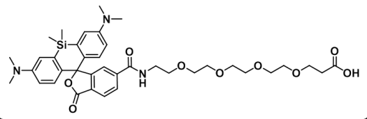
SiR-PEG4-COOH 硅基罗丹明-四聚乙二醇-羧基
产品英文名称:SiR-PEG4-COOH
产品中文名称:硅基罗丹明-四聚乙二醇-羧基
外观:实心
分子式:C38H49N3O9Si
分子量:719.91
储存条件:-20°C,在黑暗中
结构式:

荧光团硅罗丹明(SiR )。SIR是一种光亮、耐光的类罗丹明染料。其主要特点是细胞通透性、荧光性和与超分辨率显微镜的相容性。荧光激发和发射在活细胞成像实验中呈远红色,降低了光毒性。SiR 与大多数显微镜兼容,因为它可以在标准Cy5设置下使用。所有这些特性的结合使基于SIR based的探针有别于其他荧光探针。
小编zhn2021.11.05
最后
以上就是害羞月饼最近收集整理的关于SiR-PEG4-BCN,SiR-PEG4-COOH,小分子PEG硅基罗丹明-四聚乙二醇-羧基的全部内容,更多相关SiR-PEG4-BCN内容请搜索靠谱客的其他文章。
本图文内容来源于网友提供,作为学习参考使用,或来自网络收集整理,版权属于原作者所有。
发表评论 取消回复