SiR-PEG3-TCO硅基罗丹明peg功能化染料反式环辛烯
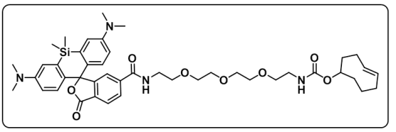
产品英文名称:SiR-PEG3-TCO
产品中文名称:硅基罗丹明-三聚乙二醇-反式环辛烯
外观:实心
分子式:C44H58N4O8Si
分子量:799.05
储存条件:-20°C,在黑暗中
结构式:

罗丹明染料具有很多的优点,这也使其成为商业化荧光染料的典范,从被发现以来,就吸引着无数生物学家,化学家,以罗丹明染料为母体的荧光探针和荧光染料层出不穷。该文较全面的归纳了09年以前的以罗丹明为母体的荧光探针、荧光染料及罗丹明染料的合成方法,这对合成罗丹明衍生物和设计罗丹明荧光探针都有很好的指导作用。同时也声明了罗丹明结构的开闭环状态的条件,对研究和发展罗丹明衍生染料有着重要意义。

罗丹明染料
SiR-N3/azide SiR叠氮修饰的硅基罗丹明染料
SI-TAMRA-6-COOH羧基功能化硅基罗丹明染料
SiR NHS偶联活性脂的硅基罗丹明染料
SiR tetrazine含有点击化学特性四嗪修饰的硅基罗丹明染料
SiR-Me-tetrazine功能化硅基罗丹明近红外荧光探针
氨基/羧基/活化脂/马来酰亚胺功能化硅罗丹明染料-西安齐岳
NH2,COOH,NHS,MAL,Biotin,N3,DBCO-SiR含有活性基团的硅罗丹明
来源于西安齐岳生物,更多资讯请咨询我们axc
最后
以上就是飞快墨镜最近收集整理的关于SiR-PEG3-TCO硅基罗丹明peg功能化染料反式环辛烯SiR-TCO的全部内容,更多相关SiR-PEG3-TCO硅基罗丹明peg功能化染料反式环辛烯SiR-TCO内容请搜索靠谱客的其他文章。
本图文内容来源于网友提供,作为学习参考使用,或来自网络收集整理,版权属于原作者所有。
发表评论 取消回复